Algebra I Chapter 1 Test
star
star
star
star
star
Last updated over 1 year ago
14 questions
Complete each question fully and show all work, where necessary.
2
Solve the equation.
Solve the equation.
1
Solve the equation.
Solve the equation.
1
Are the equations 7v = - 10 and - 1 = 7v + 9 equivalent? Explain your reasoning using sentences.
Are the equations 7v = - 10 and - 1 = 7v + 9 equivalent? Explain your reasoning using sentences.
2
Solve the absolute value equation.
x = _______
x = _______
2
The letters a and b represent nonzero constants.
Solve the equation below for x.
The letters a and b represent nonzero constants.
Solve the equation below for x.
1
Consider the equation below. Without calculating, is x = -16 a solution?
Consider the equation below. Without calculating, is x = -16 a solution?
0
The volume of a cylinder is given by the formula below, where r is the radius of a base and h is the height.
Volume of a cylinder formula:
a. Solve the formula for h.
_______
0.5
Which formula shows the length of a rectangle can be determined from the perimeter and the width? (click the image to expand)
Which formula shows the length of a rectangle can be determined from the perimeter and the width?
(click the image to expand)
2
What is the measure of the top left angle in the diagram?
_______
*remember units in your answer
2
Describe the values of c for which the equation has no solution. (What would c have to be in order to make the equation have no solution?)
Describe the values of c for which the equation has no solution.
(What would c have to be in order to make the equation have no solution?)
1
Solve for y.
Solve for y.
1
In the box below, Beesan tried to solve for a.
Identify the mistake Beesan made. _______
Solve for a correctly. _______
2
At a book fair, a tote bag costs $5 and books cost $2.50 each. You spend a total of $15. How many books did you buy in addition to the tote bag?
At a book fair, a tote bag costs $5 and books cost $2.50 each. You spend a total of $15. How many books did you buy in addition to the tote bag?
1
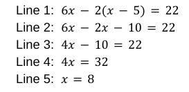
In the problem below, which line contains an error?
In the problem below, which line contains an error?