Log in
Sign up for FREE
arrow_back
Library

9/18 Unit #2 Review

star
star
star
star
star
Last updated over 1 year ago
15 questions
1
1.NS.1
1
1.NS.1
1
1
1
1
1
1
1
1
1
1
1
Question 1
1.

Question 2
2.

Question 3
3.
Solve the equation.


n = _______
1
Question 4
4.
1
Question 5
5.
Question 6
6.
What value of a will the equation 5x + 7 = 5x + a have an infinite number of solutions?

a = _______
Question 7
7.
Solve for b using the area formula of a triangle.


b = _______
Question 8
8.
Solve the equation.


n = _______
Question 9
9.
What is the solution to the following equation?


a = _______
Question 10
10.

Emma, Luke and Noah each wrote expressions to represent their hourly earnings for an after-school job for a week where h represents the number of hours worked.

Emma: 8.75h + 21 Luke: 6(3.5h + 12) Noah: 9.75h + 13

How many hours will Emma and Noah have to work in order to make the same amount of money in one week?

Question 11
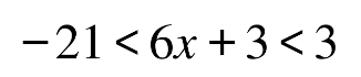
11.
Solve for x and graph in the show your work section.


_______
Question 12
12.
Solve for c :


State the greatest possible integer value for c in the solution set.

_______
Question 13
13.
John is offered a job with a salary of $48,000 and a raise of $10,000 per year. Another company offers him $64,000 and a raise of $2,000 per year. After how many years will John make more money if he accepts the first offer?

Write an inequality describing the situation.__________

After how many years will John make more money if he accepts the first offer?
__________
Question 14
14.
For an annual membership fee of $800, Mr. Jones can join a country club that would allow him to play a round of golf for $25. Without the membership, the country club charges $65 for each round of golf. How many rounds of golf would Mr. Jones have to play for the cost to be less expensive with a membership?

_______rounds
Question 15
15.

Use the expression below to answer the question.

25 + 15y + 4y - 16

Which expression is equivalent?
5 (5 + 3y) + 2 (2y - 8)
5 (10 + 5y) + 2 (4y - 9)
6 (5 + 3y - 5y -16)
5 (15 + 3y + 8y - 16)
Select ALL expressions that are equivalent to 3(x + 3) - 12 + 5x.
2x - 5
8x - 3
2 (5x + 3)
3x + 9 -12 + 5x
4x + 3 - 10 + 6x
4x + 13 - 11 + 7x
Solve the compound inequality and graph its solution.