Chapter 4 Rational Numbers Review WS
star
star
star
star
star
Last updated about 2 years ago
20 questions
1
gt = greater thanlt = less thaneq = equalsExample: >
gt = greater than
lt = less than
eq = equals
Example: >
1
gt = greater thanlt = less thaneq = equalsExample: >
gt = greater than
lt = less than
eq = equals
Example: >
1
gt = greater thanlt = less thaneq = equalsExample: >
gt = greater than
lt = less than
eq = equals
Example: >
1
gt = greater thanlt = less thaneq = equalsExample: >
gt = greater than
lt = less than
eq = equals
Example: >
1
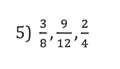
Remember to put them back in original form!!1/4, 1/2, 3/4,
Remember to put them back in original form!!
1/4, 1/2, 3/4,
1
Remember to put them back in original form!!7.5%, 0.25, 1/2
Remember to put them back in original form!!
7.5%, 0.25, 1/2
1
Remember to put them back in original form!! THESE ARE NEGATIVES!!!-3/4, -1/2, -1/4
Remember to put them back in original form!! THESE ARE NEGATIVES!!!
-3/4, -1/2, -1/4
1
Remember to put them back in original form!! .25%, 1/2, 0.75
Remember to put them back in original form!!
.25%, 1/2, 0.75
1
If it is a repeating decimal, round it to the nearest hundredth. Example 0.6666....= 0.67
If it is a repeating decimal, round it to the nearest hundredth. Example 0.6666....= 0.67
1
If it is a repeating decimal, round it to the nearest hundredth. Example 0.6666....= 0.67
If it is a repeating decimal, round it to the nearest hundredth. Example 0.6666....= 0.67
1
If it is a repeating decimal, round it to the nearest hundredth. Example 0.6666....= 0.67
If it is a repeating decimal, round it to the nearest hundredth. Example 0.6666....= 0.67
1
If it is a repeating decimal, round it to the nearest hundredth. Example 0.6666....= 0.67
If it is a repeating decimal, round it to the nearest hundredth. Example 0.6666....= 0.67
1
1
1
1
1
1
1
1