Carbohydrate Quiz
star
star
star
star
star
Last updated about 2 years ago
18 questions
1
What is the basic function of carbohydrates in the body?
What is the basic function of carbohydrates in the body?
1
Which of the following is a monosaccharide?
Which of the following is a monosaccharide?
1
What is the general chemical structure of carbohydrates?
What is the general chemical structure of carbohydrates?
1
Which chemical elements are found in carbohydrates?
Which chemical elements are found in carbohydrates?
1
Required
1
Which major macromolecule is being respresented in this image?
Which major macromolecule is being respresented in this image?
Required
1
What are the single sugars that are the building blocks of carbohydrates?
What are the single sugars that are the building blocks of carbohydrates?
Required
1
Carbohydrates are made of...
Carbohydrates are made of...
1
The process that links molecules together by removing water is called __.
The process that links molecules together by removing water is called __.
4
Match the monomer on the left with the macromolecule that it is makes on the right.
Match the monomer on the left with the macromolecule that it is makes on the right.
| Draggable item | arrow_right_alt | Corresponding Item |
|---|---|---|
Amino acid | arrow_right_alt | Protein |
Nucleotide | arrow_right_alt | Nucleic acid |
Fatty acid/hydrocarbon chain | arrow_right_alt | Lipid |
Monosaccharide | arrow_right_alt | Carbohydrate |
1
Which type of macromolecule should you consume more of if you need a quick boost of energy?
Which type of macromolecule should you consume more of if you need a quick boost of energy?
4
Match each element that is commonly seen in the macromolecules to the number of bonds that it typically forms to become stable.
Match each element that is commonly seen in the macromolecules to the number of bonds that it typically forms to become stable.
| Draggable item | arrow_right_alt | Corresponding Item |
|---|---|---|
Hydrogen | arrow_right_alt | 1 |
Oxygen | arrow_right_alt | 2 |
Nitrogen | arrow_right_alt | 3 |
Carbon | arrow_right_alt | 4 |
1
Think about when you built a monosaccharide on your Chromebook. Which molecule above (A - E) resembles the monosaccharide you made?
Think about when you built a monosaccharide on your Chromebook. Which molecule above (A - E) resembles the monosaccharide you made?
1
Using the previous question, how do you know which was the a monosaccharide or simple sugar?
Using the previous question, how do you know which was the a monosaccharide or simple sugar?
10
Match the term on the left with the BEST choice on the right.
Match the term on the left with the BEST choice on the right.
| Draggable item | arrow_right_alt | Corresponding Item |
|---|---|---|
Di- | arrow_right_alt | Two |
Hydrolysis | arrow_right_alt | Sugar |
Poly- | arrow_right_alt | One |
Mono- | arrow_right_alt | many |
Dehydration synthesis | arrow_right_alt | the process that bonds monomers together |
-saccharide | arrow_right_alt | the process that break macromolecules of down |
1
All carbohydrate names end with which ending:
All carbohydrate names end with which ending:
1
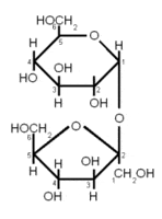
What type of carbohydrate is this?
What type of carbohydrate is this?
1
Animals STORE glucose in the form of ____.
Animals STORE glucose in the form of ____.