Log in
Sign up for FREE
arrow_back
Library

1.0 Unit 1 Exam- Part 2

star
star
star
star
star
Last updated about 1 year ago
26 questions
Note from the author:
5
15
10
3
3
3
3
3
3
3
3
3
3
3
3
3
3
3
3
3
3
3
3
Part 2: Math Skills Open Response
Part 2: Math Skills Open Response
Question 1
1.
In preparation for moving into his first apartment after college, Winston goes on a shopping spree and spends $984 on furnishing, decorations, and other home goods. Sales tax in his area is 8.19%, and none of the items he buys are tax exempt. What will Winston’s total bill be at the cash register?_______ Round your answer to the nearest cent. Screen Shot your Desmo Calculations
Farrah and her sister Karina split a paper route with Farrah working 3 out of the 7 days of the week. They split their wages with the same ratio. Farrah has been saving her money in a bank account every month to buy a new bike, and the account has a $5 per month fee.
3
Question 2
2.
Write an equation to model Farrah’s account balance as a function of their joint paper route wages, x._______
2
Question 3
3.
If the paper route makes $280 per month, by how much does Farrah’s bank balance increase each month? _______ Round your answer to the nearest cent. Screen Shot your Desmo Calculations
5
Question 4
4.
Question 5
5.
Isaac would like to create a graph to represent his total payroll deductions per pay period for different gross pay amounts. He created the function f(x) = 0.16x + 140 to represent his situation. Complete the table and graph in the drawing to represent his deductions function. You may enter the information into desmos and screen shot your graph there. Screen Shot your Desmo Calculations

Gross Pay Total Deductions
x f(x)
1250 _______
1400 _______
1550 _______
1600 _______
2000 _______
Question 6
6.
The marginal tax rates for FICA are as follows: You pay 7.65% on your earnings up to $147,000. After that, you pay 1.45% on earnings greater than $147,000 up to $200,000. For earnings above $200,000, you pay 2.35%. Write an equation (in Piece wise function notation) for the marginal FICA tax rate as a function of earnings.

_______% _______
f(x)= _______% _______
_______% _______
Question 7
7.

Each of these is a common payroll deduction EXCEPT…

Question 8
8.

Kiki receives a paycheck for 15 hours of work at a rate of $20 per hour. Her paystub lists 401(k) withholdings of $40, FICA of $20, federal income taxes of $26, and a healthcare payment of $8. What is Kiki’s net pay?
a. $206
b. $254
c. $300
d. $394

Question 9
9.

Which expenditures make up the greatest share of state spending?

Question 10
10.

Lamar made $92,000 as a data analyst his first year out of college. He calculated his above-the-line deductions to be $5,500, his itemized deductions to be $7,000, and the standard deduction is $12,950. What deductions is Lamar allowed to take that will minimize his taxes owed?

Question 11
11.

Maricela calculated that she owes $2,493 in federal taxes after all deductions and credits. Her W-2 states that $2,670 was withheld in federal tax. This means that Maricela…

Question 12
12.

Which statement best describes the difference between being paid a wage versus being paid a salary?
1. A wage is an hourly rate below $20 per hour, while a salary is an hourly rate above $20 per hour
2. A wage is paid based on how many hours you work, while a salary is a fixed amount paid regardless of the number of hours
3. A wage is paid every two weeks, while a salary is paid monthly
4. A wage is paid to part-time employees, while a salary is paid to full-time employees

Question 13
13.

Who should consider completing a W-4 form?

Question 14
14.

Which of the following is true about state taxes?
1. The federal government determines state tax rates
2. States can levy property taxes and sales taxes, but not income taxes
3. Sales tax rates are the same in all states, but income tax rates are different
4. The largest state programs funded by state taxes are education and healthcare

Question 15
15.

Payroll taxes are different from income taxes in all of the following ways, EXCEPT…

Question 16
16.

The graph shows a hypothetical tax rate as a function of income. Which of the following statements about the graph is true?

Question 17
17.

All of the following are reasons that you might receive a 1099 statement EXCEPT…

Question 18
18.

What statement is true about standard and itemized personal deductions?

Question 19
19.

Georgia completed her taxes and found that she owes $1,941 in federal taxes.  If her taxable income for the year was $16,175, what is her effective tax rate?

Question 20
20.

Jorge made $85,000 last year as a junior consultant for a prestigious law firm placing him in the 22% tax bracket. What is true about Jorge’s marginal and effective tax brackets?

Question 21
21.

James received his W-2. How much did he pay in federal and FICA taxes combined?

Question 22
22.

Given that f(x) = -4x + 7, which of the following ordered pairs represents f(2)?

Question 23
23.

Which answer below represents the largest rational number?

Question 24
24.

Every pay period, Tamara pays 11% of her gross pay in taxes and an additional $200 in voluntary retirement deductions. Write an equation that represents Tamara’s net pay, where x represents her gross pay per pay period.

Question 25
25.

Gertrude sells cabbages at the farmers market. It costs $50 for her to enter the market and set up her booth, and she makes $5 per cabbage that she sells. She can model her profits with the function p(c) = 5c -50 where c is the number of cabbages sold. If she brings 100 cabbages to the farmers market, which correctly expresses the domain and range for this function?

Question 26
26.

The graph shows a hypothetical tax rate as a function of income. Which equation matches the graph?

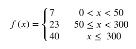
State the domain and range of the function shown below using inequality notation.
Domain: _______ Range: _______
d
A wage is paid to part-time employees, while a salary is paid to full-time employees
The largest state programs funded by state taxes are education and healthcare
Domain: 0 ≤ c ≤ 50
Range: -50 ≤ p(c) ≤ 450