Log in
Sign up for FREE
arrow_back
Library
03 Biomolecule ID Practice
By Jake Schroeder
star
star
star
star
star
Share
share
Last updated over 2 years ago
3 questions
Add this activity
Note from the author:
Categorize each of the images as a protein
Instructions
Categorize each of the images as a protein
Required
5
Required
5
Required
5
Question 1
1.
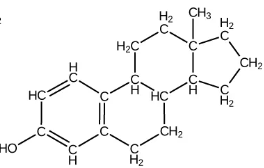
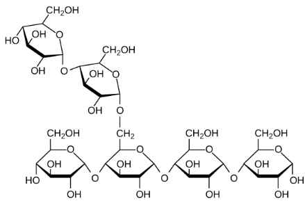
Categorize each of the biomolecules below.
Walkthrough video
Question 2
2.
Question 3
3.
Protein
Lipid
Carbohydrate
Nucleic Acid
Other
Protein
Lipid
Carbohydrate
Nucleic Acid
Other
Protein
Lipid
Carbohydrate
Nucleic Acid
Other