Log in
Sign up for FREE
arrow_back
Library

Chapter 2 Test

star
star
star
star
star
Last updated almost 2 years ago
26 questions
Required
2
Required
2
Required
0
Required
4
Required
2
Required
2
Required
2
Required
0
Required
2
Required
2
Required
2
Required
3
Required
2
Required
2
Required
0
Required
3
Required
0
Required
3
Required
2
Required
2
Required
2
Required
2
Required
2
Required
2
Required
2
0
Question 1
1.

There is a relationship between what year a college student is (freshmen, sophomore, junior or senior) and their opinion about whether parking passes should be given to freshmen.
What is the explanatory and response variable in this situation?

Question 2
2.

Question 3
3.

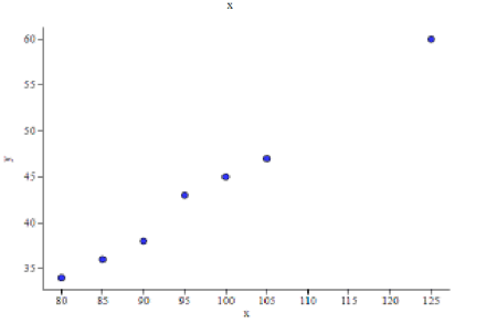
Researchers interested in the relationship between vehicle weight and fuel economy collected dat from randomly selected vehicles.
The scatterplot displays the observed relationship.

Which of the following statements is true?

Question 4
4.

Question 5
5.

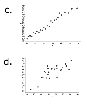
Which of the following scatterplots is a correlation of 0.986?


Question 6
6.

A random sample of 100 children from 1st grade through 12th grade was selected from a large school district.
A scatterplot displayed the relationship to be roughly linear and the correlation for the relationship between height and weight was found to be 0.58.
What is the interpretation of the correlation?

Question 7
7.

A statistics teacher collects data from students and finds that the correlation between test scores and homework scores is 0.98.
Which of the following is an INCORRECT conclusion about the relationship between test scores and homework scores?

Question 8
8.

The scatterplot displays the relationship between speed of a vehicle and fuel economy.
The correlation is r= -0.992.

Which of the following is correct?

Question 9
9.

The following graphs have outliers:

How do the outliers affect the correlation?

Question 10
10.

A student taking an upper level math needed a more advanced calculator. Ebay.com had several auctions for the calculator.
The time remaining in the auctions and the current bid price were recorded.
Here is the scatterplot of the data, along with the equation of the regression line:

What is the predicted bid price for a calculator with one hour remaining on the auction?
Hint: one hour = how many minutes?

Question 11
11.

A student taking a statistics class and needed a more advanced calculator. She collected selling price and number of bids received from Ebay.com on the same model of calculator she needs to purchase.
The equation of the regression line is:
How are the variables being used?

Question 12
12.

Question 13
13.

Question 14
14.

Question 15
15.

Scatterplot A displays sth relationship between two variables x and y.
Scatterplots B and C display the same relationship with an extra point added to each.
The least squares regression line has been draw on Scatterplot A for reference.
Which is correct?

Question 16
16.

Here are three residual plots from Least-Squares Regression lines.

Which of the residual plots indicate that the linear regression model is appropriate?

Question 17
17.

An exponential model and a quadratic model were calculated for the relationship between two variables, x and y. Here are the residual plots for the models:
Based on the residual plots, which model is more appropriate?

Question 18
18.

Question 19
19.

A medical researcher is interested in determining if there is a relationship between the consumption of artificial sweeteners and digestive health.
The two-way table displays the data:
Does it make sense to calculate the correlation for the association between artificial sweetener consumption and digestive health problems?
Select both answers.

Question 20
20.

Is there a relationship between time spent on electronic devices in the evening and sleep? Here are the data form 10 randomly selected college students:

Time on electronics (in hours): 1.5, 2, 6, 6, 3, 2.5, 1, 4, 3, 3.5
Amount of sleep (in hours): 9, 8.5, 5, 4.5, 7, 8.5, 8.25, 5.5, 6, 6.5

Use statsmedic.com/applets (2 quantitative variables) to create and observe a scatterplot.
What is the relationship between time on electronics and amount of sleep? Include the correlation coefficient and interpret it.

Question 21
21.

Use the data from #20, have statsmedic.com/applets create a least-squares regression line for you. Enter the equation in the space below.
Keep all decimal places.

Be sure to use -hat to show which variable is being predicted.
Use these names for the variables: electronics hours sleep hours

Question 22
22.

Use the equation from #21 to predict the hours of sleep for a student with 4 hours of electronics.
Round your answer to two places past the decimal point. Use units.

Question 23
23.

Using your answer from #22 for the predicted hours of sleep and the actual hours of sleep of 5.5 for a student with 4 hours of electronics, calculate the residual:
Enter your answer and tell if the model over or under predicted the final grade.

Question 24
24.

Would you feel comfortable using this model to predict the amount of sleep for a student with 13 hours of electronics?
Why or why not?
Think about what we discussed in class and what this is called.

Question 25
25.

Look back at the residual plot in statsmedic, what does it tell you?

Question 26
26.

BONUS:
How do fuel costs relate to a vehicle's engine size? The scatterplot and regression equation display this relationship for all conventional fuel vehicles from the current model year.
The equation of the regression line is:
A. 2 points: Interpret the y-intercept. Make sure to tell if it has meaning in this situation.

B. 2 points: Interpret the slope.

Explanatory: college student
Response: the year of the college student
Two friends attend different schools and are curious if there is an association between day of the week and whether homework is assigned in math class. For a semester they track if they have homework each day of the week. The segmented bar charts display the frequency with which homework is assigned each day of the week during this semester:

Is there an association between day of the week and how frequently homework is assigned for Nathan's and Lynn's schools?
How do you know there is an association? Select both answers.
There is an association between day of the week and how frequently homework is assigned at Lynn's school, but not at Nathan's.
Because the percent of time homework is assigned is the same each day of the week.
There is an association between day of the week and how frequently homework is assigned at Nathan's school, but not at Lynn's.
There is an association between day of the week and how frequently homework is assigned at both schools.
There is no association between day of the week and how frequently homework is assigned at either school.
Because the percent of time homework is assigned is different for different days of the week.
The scatterplot for two quantitative variables x and y appears below:
Check the three conditions, is it appropriate to calculate the correlation for the relationship between age and height?
Check all four answers.
Yes, it is appropriate
there is a possible outlier which will weaken the correlation
the shape is curved
the shape is roughly linear
both variables are quantitative
both variables are categorical
No, it is not appropriate
there are no outliers
c
The linear relationship between height and weight is moderately strong and positive.
The correlation -0.992 can also be interpreted as -0.992 miles per gallon for each mile per hour increase in speed.
The correlation would be stronger if we used miles per minute for speed.
Plotting speed on the y-axis and Fuel economy on the x-axis would change the correlation value.
Converting the variables from miles per hour and miles per gallon to kilometers per hour and kilometers per gallon would not change the correlation.
The outlier in the top graph brings the correlation closer to 0 while the outlier in the bottom graph brings the correlation closer to 1.
The outliers in both graphs bring the correlation closer to 1.
The price decreases $0.41 per hour so we need to know how many hours have passed in order to predict the price.
$44.18
The number of bids received is being used to predict the selling price.
A student taking a statistics class and needed a more advanced calculator. She collected selling price and number of bids received from Ebay.com on the same model of calculator she needs to purchase.
The equation of the regression line is:
Calculate and interpret the residual for a calculator that received 16 bids and sold for $60.
Select 3 answers.
residual = $4.77
residual= -5.54
Predicted selling price = $64.25
Predicted selling price = $65.54
The regression model over predicted the price of the calculator.
residual= -$4.25
Predicted selling price = $55.23
The regression model under predicted the price of the calculator.
A student taking an upper level math needed a more advanced calculator. Ebay.com had several auctions for the calculator.
The time remaining in the auctions and the current bid price were recorded.
The equation for the least-squares regression line is:
What is the slope and the interpretation of the slope?
slope = -$0.41
slope = 68.78
The predicted bid price increases by $68.78 for each additional minute that the auction is active.
slope = 0.41
The predicted bid price decreases by $0.41 for each additional minute that the auction is active.
The predicted bid price decreases by $68.78 for each additional minute that the auction is active.
The predicted bid price increases by $0.41 for each additional minute that the auction is active.
A student taking an upper level math needed a more advanced calculator. Ebay.com had several auctions for the calculator.
The time remaining in the auctions and the current bid price were recorded.
The equation for the least-squares regression line is:
What is the y-intercept and the interpretation of the y-intercept?
y-intercept = 0.41
y-intercept = -68.78
y-intercept = 68.78
When there are no bids the selling price is $0.41.
The y intercept has no meaning in this context.
y-intercept = -0.41
When there are no bids the selling price is $68.78
The slope of A will be more negative than B.
Residual plot C
Residual plot A
Residual plot B
The residual plot shows random scatter or mostly random scatter.
The residual plot shows a definite pattern.
The exponential model is more appropriate than the quadratic model because the residual plot shows random scatter.
A medical researcher is interested in determining if there is a relationship between the consumption of artificial sweeteners and digestive health.
The two-way table displays the data:
What are the explanatory and response variables?
Artificial sweetener consumption can influence digestive health problems.
The explanatory variable is Artificial Sweetener Consumption
Digestive health problems can influence artificial sweetener consumption.
The response variable is Digestive Health Problems
The response variable is Artificial Sweetener Consumption
The explanatory variable is Digestive Health Problems
No, it does not make sense
the variables are quantitative
Yes, it makes sense
the variables are not quantitative
we can't decide this without first looking at the segmented bar charts