Log in
Sign up for FREE
arrow_back
Library

[AP Statistics] 3.AP Review

star
star
star
star
star
Last updated 10 months ago
28 questions
1
1
1
1
1
1
1
1
1
1
1
1
1
1
1
1
1
1
1
1
1
1
1
1
1
1
1
1
As before, the "hints" below are actually answer explanations.
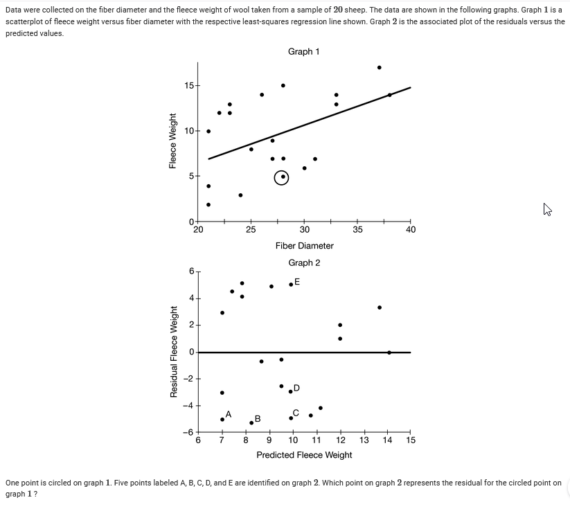
Question 1
1.

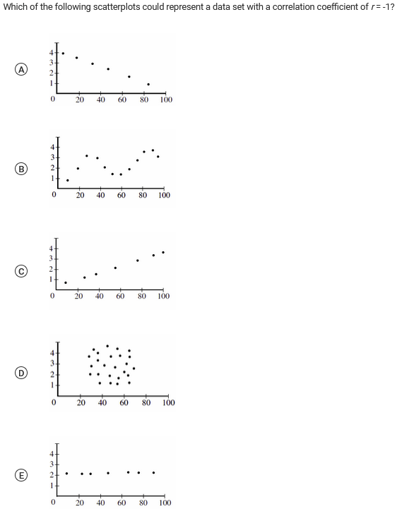
Question 2
2.

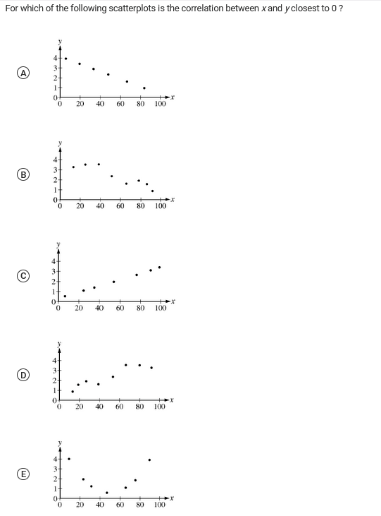
Question 3
3.

Question 4
4.

Question 5
5.

Question 6
6.

Question 7
7.

Question 8
8.

Question 9
9.

Question 10
10.

Question 11
11.

Question 12
12.

Question 13
13.

Question 14
14.

Question 15
15.

Question 16
16.

Question 17
17.

Question 18
18.

Question 19
19.

Question 20
20.

Question 21
21.

Question 22
22.

Question 23
23.

Question 24
24.

Question 25
25.

Question 26
26.

Question 27
27.

Question 28
28.

A
B
C
D
E
A
B
C
D
E
A
B
C
D
E
A
B
C
D
E
A
B
C
D
E
A
B
C
D
E
A
B
C
D
E
A
B
C
D
E

A
B
C
D
E
A
B
C
D
E
A
B
C
D
E
A
B
C
D
E
A
B
C
D
E
A
B
C
D
E
A
B
C
D
E
A
B
C
D
E
A
B
C
D
E
A
B
C
D
E
A
B
C
D
E
A
B
C
D
E
A
B
C
D
E
A
B
C
D
E
A
B
C
D
E

A
B
C
D
E
A
B
C
D
E
A
B
C
D
E

A
B
C
D
E
Are there any problems above that you would like to go over in class? Indicate the question numbers below (Numbers refer to the Formative question number). I'll try to cover anything that is highly requested.
1
2
3
4
5
6
7
8
9
10
11
12
13
14
15
16
17
18
19
20
21
22
23
24
25
26
27