Log in
Sign up for FREE
arrow_back
Library

3.4 Manipulating Equations

star
star
star
star
star
Last updated about 1 year ago
31 questions
Note from the author:
OBJECTIVES & STANDARDS
Math Objectives
  • Solve literal equations for a given variable
  • Convert linear equations from standard form to slope-intercept form
Common Core Math Standards
  • Link to all CCSS Math
  • CCSS.PRACTICE.MP2
  • CCSS.HSA.SSE.B.3
  • CCSS.HSF.BF.A.1
Personal Finance Objectives
  • Explore simple interest and savings accounts
National Standards for Personal Financial Education
Saving
  • 2a: Select a preferred location for a savings account based on comparison of interest rates and fees at different types of financial institutions
DISTRIBUTION & PLANNING
Distribute to students
  • Student Activity Packet
  • Application Problems
OBJECTIVES & STANDARDS
Math Objectives
  • Solve literal equations for a given variable
  • Convert linear equations from standard form to slope-intercept form
Common Core Math Standards
  • Link to all CCSS Math
  • CCSS.PRACTICE.MP2
  • CCSS.HSA.SSE.B.3
  • CCSS.HSF.BF.A.1
Personal Finance Objectives
  • Explore simple interest and savings accounts
National Standards for Personal Financial Education
Saving
  • 2a: Select a preferred location for a savings account based on comparison of interest rates and fees at different types of financial institutions
DISTRIBUTION & PLANNING
Distribute to students
  • Student Activity Packet
  • Application Problems
Intro - Warm-Up
Learn It
Application Problems
Level 2
CALCULATE: Solving equations
Solve each of the following equations for x.
SHOW YOUR WORK FOR FULL CREDIT
1
Question 1
1.
-2x + 11 = 15
x=_______
1
Question 2
2.
6x + 4 = -3x - 5
x=_______
1
1
Solving Literal Equations
Let’s solve some more equations, except this time, we’re going to write down what steps we’re doing and why we’re doing them.
  • In the “Equation” column, write the equation solving steps.
  • In the “Description and Reason” column, write a short word description of what you did and why you did it. For example, “I subtracted by 5 on both sides of the equation to get the 2x by itself.” *Use the Properties of Equality*

4
Question 5
5.
Solve the Equation for x:
Equation Reason
1. 4x+5=25 1. Given
2. 4x=_______ 2. _______ Prop. of =
3. x=_______ 3. _______ Prop of =
4
Question 6
6.
Solve the equation for b:
Equation Reason
1. ab+c=d 1. Given
2. ab=_______ 2. _______ Prop. of =
3. _______ 3. _______ Prop of =
Notice how the steps for these two problems are identical! The only difference is that when numbers are included, you can simplify as you go and when there are only variables, you can’t. These equations that contain mostly variables are called literal equations.
Notice how the steps for these two problems are identical!  The only difference is that when numbers are included, you can simplify as you go and when there are only variables, you can’t.  These equations that contain mostly variables are called literal equations.

Here are some basic steps you can follow to solve any equation for a given variable.
  1. Review the completed example problem, using the video walkthrough.
1
Find and Combine:
Find the term with your variable. Combine like terms if necessary.
Solve for y:

zx+by=r

2
Isolate the term:
Add or subtract all other terms to isolate the term containing your variable.
zx - zx + by = r - zx
by = r - zx

3
Isolate the variable:
Multiply or divide away anything that is connected to your variable. Be sure to apply your operation to ALL terms on both sides




4
Check your Answer:
Your variable should be the only term on that side of the equation

1
1
1
1
1
1
1
1
1
Simple Interest
Interest is the amount of money that someone is paid for allowing someone else to borrow their money.  If you take out a loan on a car, you may have to pay interest to borrow the money you need to make the car purchase.  Similarly, if you put money into a savings account, you can EARN interest.
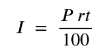
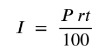
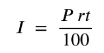
There are many different ways of calculating interest.  We are going to be focusing on simple interest, where only your initial deposit earns interest.  Simple interest is calculated using the following formula:

Where
  • I = Total Interest
  • P = Principal (the amount that is being borrowed or deposited)
  • r = the annual interest rate as a percent (APR)
  • t = the number of years
1
1
1
1
1
1
Savings Account Interest
You invest a total of $12,000 in two savings accounts paying 0.61% and 0.70% simple annual interest. If the yearly interest is $75, how much of the $12,000 did you deposit into each account?
Review:  To convert a percent into a decimal, move the decimal point two places to the left.  For example, 3% becomes 0.03.
4
Question 22
22.
Write a system of equations that represents this situation.
a. Focus on the question at the end of the situation. What is unknown?  Define variables to represent these unknowns.
x=_______ y=_______
b. What are the TWO situations that are being described in the problem?  Write an equation that represents each situation._______ _______
1
Question 23
23.
Where do these lines intersect? Enter both equations from Part 1 into the Desmos Graphing Calculator and write down the intersection point.  You may need to zoom out to find the intersection._______
1
1
1
Calculate the interest rates
You deposit $10000 into a standard simple interest savings account.  You deposit $12000 into a higher yield account whose interest rate is triple the basic account.  In one year, you make $460 in interest.  What were the interest rates for each account?
Part I
  1. Write a system of equations that represents this situation where x represents the standard savings account and y represents the high yield savings account.
  • Focus on the question at the end of the situation. What is unknown about the situation?  Define variables to represent these unknowns.
  • What are the TWO situations that are being described in the problem?  Write an equation that represents each.

1
Question 27
27.
Enter both equations from Part 1 into the Desmos Graphing Calculator and write down the intersection point.  You may need to zoom in to see the intersection._______
1
6
1
1
Question 3
3.
½(3x - 1) = 7
x=_______
Question 4
4.
4x+2x-5(x-3)=18
x=_______
Question 7
7.

Solve for d:


Question 8
8.

Solve for y


Question 9
9.

Solve for k


Question 10
10.

Solve for y


Question 11
11.

Solve for x


Question 12
12.

Solve for r
*type pi and it will change to the symbol for pi

Question 13
13.

Solve for w


Question 14
14.

Solve for y


Question 15
15.

Solve for y


Question 16
16.

Solve for P:

Question 17
17.

Solve for r:

Question 18
18.

Solve for t:

Part II
Use the most appropriate equation from part 1 to answer each of the following questions.  Since we’re dealing with money, round all answers to the nearest hundredth.
Question 19
19.
What was the principal balance if you earned $240 in interest at 4.5% over 3 years?_______
Question 20
20.
How many years did you accrue interest if you received $110 in interest on a $12,000 principal balance at 3.25%?_______
Question 21
21.
What was the interest rate (as a percentage) if you accrued $97 in interest on a $8000 principal balance over 5 years?_______ %
Question 24
24.

Part II: Reflection
What does this intersection point represent in the context of the original problem?

Question 25
25.

Do you think that investing your money into these accounts was worth it?  Why or why not?

Question 26
26.

What else could you have done with your money instead of keeping it in a savings account?

Question 28
28.

What does this intersection point represent in the context of the original problem?

Question 29
29.
Part II: Reflect
Look up the interest rates for standard and high yield savings accounts online.  List 3 results for each here:
Standard Savings Account: _______ _______ _______
High Yield Savings Account: _______ _______ _______
Question 30
30.

Were the interest rates that you calculated in this word problem higher or lower than what they currently are in the real world?

Question 31
31.

Do you think savings accounts are a good way to earn money on your deposits? Why or why not?