Log in
Sign up for FREE
arrow_back
Library
[AP Calculus BC] 4.x Inverse Review Problems
By Oliver Khamky
star
star
star
star
star
Share
share
Last updated about 2 years ago
8 questions
Add this activity
Note from the author:
Instructions
1
1
1
1
1
1
1
1
"Hints" are actually the answer explanation
Write all answers as integers or fractions in simplest form
"Hints" are actually the answer explanation
Write all answers as integers or fractions in simplest form
Question 1
1.
Assume f and g are inverse functions
Question 2
2.
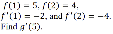
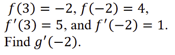
Assume f and g are inverse functions
Question 3
3.
Assume f and g are inverse functions
Question 4
4.
Question 5
5.
Question 6
6.
Question 7
7.
Question 8
8.
a
b
c
d
e