MRY Ch 1.7 - Practice: Absolute Value Equations (19pts) (11/7/2023)
star
star
star
star
star
Last updated about 2 years ago
15 questions
Watch the video lesson edpuzzle, then complete the following questions.
1
Solve the absolute value equation or state why there is no solution:
Solve the absolute value equation or state why there is no solution:
1
Solve the absolute value equation or state why there is no solution:|2x - 6| = 12
Solve the absolute value equation or state why there is no solution:
|2x - 6| = 12
1
Solve the absolute value equation or state why there is no solution:|3x - 6| = -8
Solve the absolute value equation or state why there is no solution:
|3x - 6| = -8
1
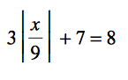
Solve the absolute value equation above.
Solve the absolute value equation above.
1
Solve the absolute value equation above.
Solve the absolute value equation above.
1
2|3x - 5| = 8
2|3x - 5| = 8
1
Solve the absolute value equation above.
Solve the absolute value equation above.
1
Solve the absolute value equation above.
Solve the absolute value equation above.
2
Solve and graph. Show each step and include relevant graph detail.
Solve and graph.
Show each step and include relevant graph detail.
1
Problem 1 Got It? What are the solutions of the equation?
Problem 1 Got It? What are the solutions of the equation?
3
For full credit: Solve and Graph and Check the solutions. Include relevant graph detail.
For full credit: Solve and Graph and Check the solutions. Include relevant graph detail.
1
Problem 2 Got It? Another friend's distance d from you (in feet) after t seconds is given by d = |80 - 5t|. What does the 5 in the equation represent?
Problem 2 Got It? Another friend's distance d from you (in feet) after t seconds is given by d = |80 - 5t|.
What does the 5 in the equation represent?
1
Problem 2 Got It? Another friend's distance d from you (in feet) after t seconds is given by d = |80 - 5t|. What does the 80 in the equation represent?
Problem 2 Got It? Another friend's distance d from you (in feet) after t seconds is given by d = |80 - 5t|.
What does the 80 in the equation represent?
2
Problem 2 Got It? Another friend's distance d from you (in feet) after t seconds is given by d = |80 - 5t|. At what time(s) is she 60 ft from you? Select all that apply.
Problem 2 Got It? Another friend's distance d from you (in feet) after t seconds is given by d = |80 - 5t|.
At what time(s) is she 60 ft from you?
Select all that apply.
1
Why are there 2 times when your friend is exactly 60ft away from you?
Why are there 2 times when your friend is exactly 60ft away from you?


