MRY THE Exponents: Negative and Zero (11/7/2023)
star
star
star
star
star
Last updated about 2 years ago
15 questions
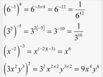
NOTES AND EXAMPLES:
Answer the following questions. Refer to the examples above for help or rewatch the video lessons.
1
Anything raised to the power of zero is ALWAYS zero.
Anything raised to the power of zero is ALWAYS zero.
1
Anything raised to the power of zero is ALWAYS one.
Anything raised to the power of zero is ALWAYS one.
1
Simplify the following expression.
Simplify the following expression.
1
Simplify the expression.
Simplify the expression.
1
Evaluate the expression.
Evaluate the expression.
1
Evaluate the expression.
Evaluate the expression.
1
1
Simplify the expression.
Simplify the expression.
1
Evaluate the expression.
Evaluate the expression.
1
Evaluate the expression only using positive exponents.
Evaluate the expression only using positive exponents.
1
Simplify the following, using only positive exponents:
Simplify the following, using only positive exponents:
1
Simplify the following, using only positive exponents:
Simplify the following, using only positive exponents:
1
Simplify the following, using only positive exponents:
Simplify the following, using only positive exponents:
1
1