Log in
Sign up for FREE
arrow_back
Library

[AP Statistics] 5.x extra practice (didn't use in 23-24)

star
star
star
star
star
Last updated 10 months ago
22 questions
1
1
1
1
1
1
1
1
1
1
1
1
1
1
1
1
1
1
1
1
1
1
Some of these are in 5.3c
Question 1
1.
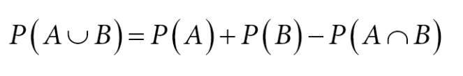
On the AP Exam (and my test), you are provided with the following two equations:

General Addition Rule



Remember, if two events A and B are Mutually Exclusive, both events CANNOT happen at the same time. You can check this by verifying that P(A and B) = 0.

Applying that to the formula above, it means that you can calculate the probability of A or B by simply adding the probabilities together, assuming they are Mutually Exclusive.

P(A or B) = P(A) + P(B), if A & B are mutually exclusive
The other equation you are given:

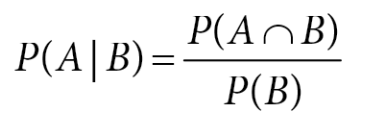
Conditional Probability equation


This equation can be used to calculate P(A|B). Alternatively, it can be rearranged to calculate
P(A and B), shown below

P(A n B) = P(B)*P(A|B)

Remember, if events A and B are Independent, then knowing whether or not event A happen has NO impact on whether B happens.
P(A|B)=P(A|BC)=P(A)

This also means the equation above becomes:

P(A and B) = P(B) * P(A), for independent events.
Question 2
2.

Use the Conditional Probability Equation to solve this.

Answer as a decimal rounded to two places

Question 3
3.

Use the Conditional Probability Equation to solve this.

Answer as a decimal rounded to two places

Question 4
4.

Answer as a fraction that is NOT simplified

Question 5
5.

Answer as a fraction that is NOT simplified

Question 6
6.

Question 7
7.

Explain your answer

Question 8
8.


Are "Rooting for the Home Team" and "Rooting for the Away Team" mutually exclusive events? Why or why not?

Question 9
9.


Are "Rooting for the Home Team" and "Rooting for the Away Team" independent events? Why or why not?

Question 10
10.


Are "Purchasing Food" and "Rooting for the Away Team" mutually exclusive events? Why or why not?

Question 11
11.


Are "Purchasing Food" and "Rooting for the Away Team" independent events? Why or why not?

Question 12
12.

Explain why or why not

Question 13
13.


Answer as a decimal rounded to two places

Question 14
14.

Answer as a decimal rounded to two places

Question 15
15.

Answer as a fraction that is NOT simplified

Question 16
16.

Answer as a decimal rounded to two places

Question 17
17.

Answer as a decimal rounded to two places

Question 18
18.

Answer as a fraction that is NOT simplified

Question 19
19.


Based on these beliefs, are events A and B mutually exclusive? Are they independent? Are they both or neither?

Explain.

Question 20
20.

"With replacement" means you put the candy back into the bag before you select another one. This makes the two draws independent.

Answer as a decimal rounded to two places

Question 21
21.

Answer as a decimal rounded to two places

Hint: May be easier to find the complement (opposite) of what they are asking for, then subtract that from 1

Question 22
22.

Answer as a decimal rounded to two places

0.5
0.6