Algebra 1 ACP Countdown
star
star
star
star
star
Last updated about 2 years ago
80 questions
Note from the author:
Warm Up - 12/14
1
A1.C.3.c
1
A1.C.2.b
1
A1.C.3.d
1
A1.C.3.c
Warm - Up Questions 12/13/23
1
A1.C.2.c
1
A1.C.2.c
1
A1.C.3.b
Warm Up Questions 12/12/23
1
A1.C.2.c
1
A1.C.3.c
1
A1.C.3.c
1
A1.C.3.d
1
A1.C.12.e
A.3A: I can determine the slope of a line given a table, graph, or two points or and an equation written in various forms y = mx + b, Ax + By = C and y-y1 = m(x-x1). (1 Question)
1
A1.C.3.a
1
1
A1.C.3.a
1
A1.C.3.a
A.3B (3 Questions) I can calculate the rate of change of a linear function represented tabularly, graphically or algebraically in context of mathematical and real world problems.
1
A1.C.3.b
1
A1.C.3.b
1
A1.C.3.b
1
A1.C.3.b
1
A1.C.3.b
1
A1.C.3.b
1
A1.C.3.b
1
A1.C.3.b
A.3C (3 Questions) I can graph linear functions on the coordianate plane and identify key features, including x - intercept, y-intercept, zeros, and slope.
1
1
A1.C.3.c
1
A1.C.3.c
1
A1.C.3.c
1
A1.C.3.c
1
A1.C.3.c
1
A1.C.3.c
1
A1.C.3.c
1
A1.C.2.c
1
A1.C.3.c
A.3D: (2 Questions)Graph the solution set of linear inequalities in two variables on the coordinate plane.
1
A1.C.3.d
1
A1.C.3.d
1
A1.C.3.d
1
A1.C.3.d
1
A1.C.3.d
1
A1.C.3.d
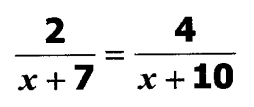
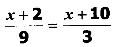
A.5A (3 Questions): Solve linear equations in one variable, including those for which the application of the distributive property is necessary and for which variables are included on both sides.
10
A1.C.5.a
10
A1.C.5.a
1
A1.C.5.a
1
A1.C.5.a
1
A1.C.5.a
1
A1.C.5.a
1
A1.C.5.a
A.5C (3 Questions): Solve systems of two linear equations with two variables for mathematics and real-world problems.
1
A1.C.5.c
1
A1.C.5.c
1
A1.C.5.c
1
A1.C.5.c
1
A1.C.5.c
A.2I (2 Questions): I can write systems of two linear equations given a table of values, a graph, and a verbal description.
1
A1.C.2.i
1
A1.C.2.i
1
A1.C.2.i
1
A1.C.2.i
A.2D (2 Questions) I can write and solve equations involving direct variation.
1
A1.C.2.d
1
A1.C.2.d
1
A1.C.2.d
1
A1.C.2.d
1
A1.C.2.d
A.2E: (1 Question) Write the equation of a line that contains a given point and is parallel to a given line.
1
A1.C.2.e
1
1
A1.C.2.e
1
A1.C.2.e
1
A1.C.2.e
1
A1.C.2.e
1
A1.C.2.e
A.2F: (1 Question) Write the equation of the line that contains a given point and is perpendicular to a given line.
1
1
A1.C.2.f
1
A1.C.2.f
1
A1.C.2.f
A.2G:(1 Question): Write an equation of a line that is parallel or perpendicular to the x or y - axis and determine whether the slope of the line is zero or undefined.
1
A1.C.2.g
1
A1.C.2.g
1
A1.C.2.g
A.2A: (3 Questions): Determine the domain and range of a linear function in mathematical and real - world problems, both discrete and continuous and represent domain and range using inequalities.
1
1
A1.C.2.a
1
1
A1.C.2.a
1
A1.C.2.a
