Log in
Sign up for FREE
arrow_back
Library

Topic 4 Quiz #1A (Lessons 4-1 & 4-2)

star
star
star
star
star
Last updated over 2 years ago
8 questions
Required
2
Required
1
Required
2
Required
1
Required
4
Required
4
Required
4
Required
4
Solving Systems by Graphing & Substitution. Show all work necessary. You may use your notes packets from your folder. Use the link below to help with graphing.
DESMOS Link
Question 1
1.

Solve the system by graphing.

  • Click a Graph tab (Graph 1, Graph 2, and so on) for each graph you need to plot.
  • Click on the graph background to add a point. Add two points to create a graph. Drag a point or type in x and y coordinates to edit its position. Click on a point to delete it.
  • After creating your graph, you can check the dashed line box.
Question 2
2.

What is the solution for question #1?

Question 3
3.

Solve the system by graphing.

  • Click a Graph tab (Graph 1, Graph 2, and so on) for each graph you need to plot.
  • Click on the graph background to add a point. Add two points to create a graph. Drag a point or type in x and y coordinates to edit its position. Click on a point to delete it.
  • After creating your graph, you can check the dashed line box.
Question 4
4.

What is the solution for question #3?

Question 5
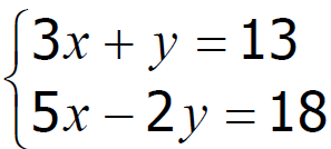
5.

Solve the system using the substitution method.

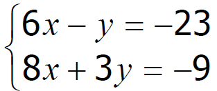
Question 6
6.

Solve the system using the substitution method.

Question 7
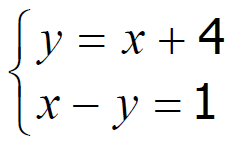
7.

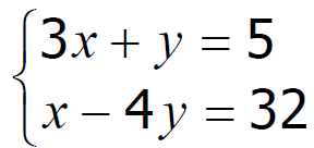
Solve the system using the substitution method.

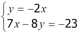
Question 8
8.

Solve the system using the substitution method.