B15 | Math 8
star
star
star
star
star
Last updated 11 months ago
12 questions

0.25
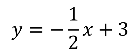
Write the number that represents the slope.
Write the number that represents the slope.
0.25
Write the number that represents the y-intercept
Write the number that represents the y-intercept
0.5
Graph the line.
Graph the line.
- Click the graph tab.
- Click on the graph background to add a point. Add two points to create a graph. Drag a point or type in x and y coordinates to edit its position. Click on a point to delete it.

0.25
Write the number that represents the slope.
Write the number that represents the slope.
0.25
Write the number that represents the y-intercept.
Write the number that represents the y-intercept.
0.5
Graph the line.
Graph the line.
- Click the graph tab.
- Click on the graph background to add a point. Add two points to create a graph. Drag a point or type in x and y coordinates to edit its position. Click on a point to delete it.

0.25
Write the number that represents the y-intercept.
Write the number that represents the y-intercept.
0.25
Write the number that represents the x-intercept.
Write the number that represents the x-intercept.
0.5
Graph the line.
Graph the line.
- Click the graph tab.
- Click on the graph background to add a point. Add two points to create a graph. Drag a point or type in x and y coordinates to edit its position. Click on a point to delete it.

0.25
Write the number that represents the slope.
Write the number that represents the slope.
0.25
Write the number that represents the y-intercept.
Write the number that represents the y-intercept.
0.5
Graph the line.
Graph the line.
- Click the graph tab.
- Click on the graph background to add a point. Add two points to create a graph. Drag a point or type in x and y coordinates to edit its position. Click on a point to delete it.