Log in
Sign up for FREE
arrow_back
Library

7th Grade Honors Mid-Term

star
star
star
star
star
Last updated about 2 years ago
21 questions
Required
1
Required
1
Required
1
Required
1
Required
1
Required
1
Required
1
Required
1
Required
1
Required
1
Required
1
Required
1
Required
1
Required
1
Required
1
Required
1
Required
1
Required
1
Required
1
Required
1
Required
1
Question 1
1.

Describe a sequence of transformations that shows that Polygon A is congruent to Polygon B.

Question 2
2.

Lines AC and BD intersect at E. What is the measure of angle BEC?

Question 3
3.

Match each picture to the correct image:

Draggable itemarrow_right_altCorresponding Item
arrow_right_alt
Translation
arrow_right_alt
Rotation
arrow_right_alt
arrow_right_alt
Question 4
4.

In which pair of figures can Figure A be taken to Figure B by a rotation?

Question 5
5.

What is the corresponding side to side DC?

Question 6
6.

What is the measure of the missing angle?

Question 7
7.

What is the slope of this line?

Question 8
8.

What is the scale factor from Triangle PRG to Triangle STU?

Question 9
9.

Find the missing side length.

Question 10
10.

Find the slope of this line.

Question 11
11.

Find the slope of this line:

Question 12
12.

Solve this equation for x:

Question 13
13.

What is the value of x in the diagram?

Question 14
14.

Select the correct equation for this tape diagram.

Question 15
15.

Solve for a:

Question 16
16.

Solve for y:

Question 17
17.

Solve for x:

Question 18
18.

Question 19
19.

Question 20
20.

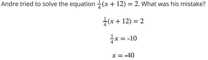
Question 21
21.

Select all the situations that can be represented by the tape diagram:

Rotate clockwise 90 degrees.
Reflection
Dilation
Jada is collecting stickers. After getting 15 more stickers, she has 60 stickers in total.

Select all the equations Jada can solve to find, the number of stickers she started with.
x + 15 = 60
x - 15 = 60
x = 60 + 15
x = 60 - 15
15x = 60
x = 60 * 15
Clare buys 4 bouquets, each with the same number of flowers. The florist puts an extra flower in each bouquet before she leaves. She leaves with a total of 99 flowers.
Andre babysat 5 times this past month and earned the same amount each time. To thank him, the family gave him an extra $4 at the end of the month. Andre earned $99 from babysitting.
A family of 5 drove to a concert. They paid $4 for parking, and all of their tickets were the same price. They paid $99 in total.
5 bags of marbles each contain 4 large marbles and the same number of small marbles. Altogether, the bags contain 99 marbles.
Han is baking five batches of muffins. Each batch needs the same amount of sugar in the muffins, and each batch needs four extra teaspoons of sugar for the topping. Han uses 99 total teaspoons of sugar.