Log in
Sign up for FREE
arrow_back
Library

Unit 3 Energetics Test

star
star
star
star
star
Last updated over 1 year ago
20 questions
LT 3.1 ATP
Required
1
3.1a
Required
1
3.1a
Required
1
3.1a
Required
1
3.1a
Required
1
3.1a
LT 3.2 Photosynthesis
Required
1
3.1b
Required
1
3.1b
Required
1
3.1b
Required
1
3.1b
Required
1
3.1b
LT 3.3 Cellular Respiration
Required
1
3.2a
Required
1
3.2a
Required
1
3.2a
Required
1
3.2a
Required
1
3.2a
LT 3.4 Interconnectedness
Required
1
3.3a
Required
1
3.3a
Required
1
3.3a
Required
1
3.3a
Required
1
3.3a
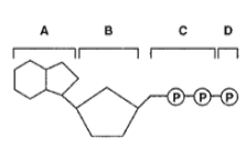
Question 1
1.

Look at the figure. All of the following are parts of an ADP molecule EXCEPT

Question 2
2.

What are the three parts of an ATP molecule?

Question 3
3.

Which part of an ATP molecule provides energy for life processes?

Question 4
4.

Which statement BEST describes the relationship between adenosine diphosphate (ADP) and adenosine triphosphate (ATP)?

Question 5
5.

The diagram shows the molecular structure of adenosine triphosphate (ATP). Which of these events occurs during the normal function of ATP in the cell?

Question 6
6.

Vernon is using the diagram shown below to develop a model of photosynthesis. The letters A, B, and C each represent a reactant or product of the process.


Should water (H2O) be included in the model as a reactant or product? If so, how should it be included?

Question 7
7.

Which equation best describes photosynthesis?

Question 8
8.

One immediate cause of a decrease in the rate of photosynthesis is a reduction in the availability of

Question 9
9.

The organelle(s) involved in photosynthesis is/are

Question 10
10.

Some sea slugs store chloroplasts obtained from algae they have ingested. The chloroplasts continue to carry out photosynthesis within the slugs. What advantage would this activity be to these sea slugs?

Question 11
11.

What is the correct equation for cellular respiration?

Question 12
12.

ATP is a compound that is synthesized when

Question 13
13.

Which statement regarding respiration is correct?

Question 14
14.

A weightlifter is using heavy weights in short bursts for a competition. Because his muscle cells are not able to take in enough oxygen to make very much ATP, he begins to get fatigue in his muscles. Which of the following processes is most likely going on in the muscles of the weightlifter as he competes in his event?

Question 15
15.

Two test tubes, A and B, were set up as shown in the diagram below. Bromothymol blue, which turns from blue to yellow in the presence of carbon dioxide, was added to the water at the bottom of each tube before the tubes were sealed. The tubes were maintained at the temperature shown for six days. (Average room temperature is 20 degrees Celsius).

Write a CER response to identify the life process responsible for the change in tube A.

Question 16
16.

Which statement describes how photosynthesis and cellular respiration are interrelated?

Question 17
17.

Although animals do not perform photosynthesis, their food supply depends on the sugars that photosynthesis produces. What is the other significant benefit to animals that photosynthesis provides?

Question 18
18.

Which of the following best describes a distinct difference between photosynthesis and cellular respiration?

Question 19
19.

Which set of terms best identifies the letters in the diagram below?

Question 20
20.

Plants can synthesize energy-rich organic molecules and later break them down to extract that energy for performing life processes. These activities require direct interaction between the

No, it should not be included.