Log in
Sign up for FREE
arrow_back
Library

IM 1 per 4 Semester 1 Final (12/14/2023)

star
star
star
star
star
Last updated about 2 months ago
17 questions
Required
5
Required
20
Required
16
Required
10
Required
10
Required
10
Required
10
Required
10
Required
10
Required
20
Required
20
Required
30
Required
10
Required
5
Required
20
Required
20
This is the Semester 1 Final for IM 1. You may use your notes, homework, and study guides. Remember to show your work on all problems that require it. And double remember to answer every question. You will receive credit for any work you do. Good Luck!
Question 1
1.

Translate this phrase into an algebraic expression:

“six less than triple a number”

Question 2
2.
Directions: Give the perimeter of each figure as a simplified expression.
Perimeter Expression=_______
If x=3 then use it to find the actual perimeter of the rectangle.
Actual Perimeter=_______
Question 3
3.


1. How many terms does the expression have?
_______
2. What are the variables?
_______ and _______ and _______
3. What are the coefficients?
_______ and _______ and _______
4. What is the constant?
_______
Question 4
4.

Simplify each expression by distributing and combining like terms.

Question 5
5.

Solve this equation.
12 - 3z = 39

Question 6
6.

Solve this multi-step equation.

Question 7
7.

Solve this equation

Question 8
8.

Solve each proportion. Show your work.

Question 9
9.

Solve and graph the inequality for the given variable.

Question 10
10.
Use the set of ordered pairs to complete the relation table, relation mapping, and coordinate graph.
Is this a function?_______
Question 11
11.

Directions: Complete each function table, then graph the function.

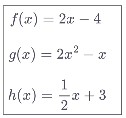
For question 17 use these functions.


Required
10
Question 12
12.

Evaluate each function for the given value.

Question 13
13.
Answer the following questions regarding this Arithmetic Function
Find the next three terms of each sequence:
23, 17, 11, 5, _______ ,_______ ,_______
What is the explicit formula (rule) for this sequence? Use function notation f(n) = see the above example if you forgot it.^^^^^^^^^^^^^
_______
What is the 107th term in the sequence?
_______
Question 14
14.

Write the equation of this line in slope-intercept form. (10pts)

Question 15
15.

Directions: Find the slope between each pair of points:
(5,-6) and (5, 7)

Question 16
16.

Use the slope and the y-intercept of each equation to graph the equation.

y=mx+b

Question 17
17.

Use x and y-intercepts of this equation to graph it.