Log in
Sign up for FREE
arrow_back
Library

5.3 Solve Systems by Elimination

star
star
star
star
star
Last updated about 2 years ago
15 questions
Do Now
1
1
Today's Lesson: Solve Systems by Elimination
1
1
1
1
1
1
1
1
0
0
Review of Systems (Graphing & Substitution)
1
1
1
Linear Systems Quiz!

Period 1: January 11
Period 5: January 10
Question 1
1.

What club or sport are you currently doing?

Question 2
2.

Question 3
3.

To solve a system of equations by elimination, we start with both equations in standard form. Then we decide which variable will be easiest to eliminate. How do we decide? We want to have the coefficients of one variable be opposites, so that we can add the equations together and eliminate that variable.

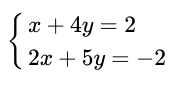
Solve the system by elimination:

Question 4
4.

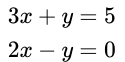
Let’s try another one:


This time we don’t see a variable that can be immediately eliminated if we add the equations.

Question 5
5.

Question 6
6.

Question 7
7.

For the next few problems, you will be able to make the coefficients of one variable opposites by multiplying one equation by a constant.

Question 8
8.

Question 9
9.

Question 10
10.

Question 11
11.

Challenge!
Now we’ll do an example where we need to multiply both equations by constants in order to make the coefficients of one variable opposites.

Question 12
12.

Challenge!

Question 13
13.

Solve the system by graphing.
Write your answer as an ordered pair, (x,y), no solution, or infinite solutions.


Question 14
14.

Graph the system of equations on the "Show your work" board.
Then type the solution in the answer box.

Question 15
15.

Solve the system by SUBSTITUTION.


Tonight's HW

Khan Academy: Systems of equations with elimination

show all work in your Algebra I notebook

Which of the these represent a linear function?
(4,2), (0,1), (4,8)