5.4 Solve Special Systems
star
star
star
star
star
Last updated over 1 year ago
11 questions
Do Now
1
Would you rather live in a big city or a small town?_______
Would you rather have six months of spring or six months of summer? _______
Today's Lesson: Solving Special Systems
1
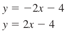
Solve the system by graphing to find the solution.
Solve the system by graphing to find the solution.
1
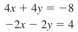
Solve the system by graphing to find the solution.
Hint: Rearrange each equation into slope-intercept form (y=mx+b), then graph.
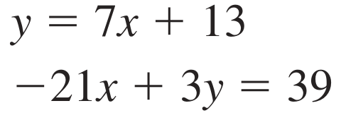
Solve the system by graphing to find the solution.
Hint: Rearrange each equation into slope-intercept form (y=mx+b), then graph.
Partner Rounds!
1
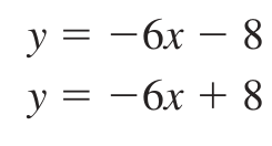
Solve the System of Equations.
You may choose to solve the system by graphing, algebraically with substitution or elimination.*Be prepared to explain why you chose your method. What is the solution to this system?
Solve the System of Equations.
You may choose to solve the system by graphing, algebraically with substitution or elimination.
*Be prepared to explain why you chose your method.
What is the solution to this system?
1
Solve the system. Explain your choice of method.
Solve the system. Explain your choice of method.
1
Solve the system. Explain your choice of method.
Solve the system. Explain your choice of method.
1
Solve the system of linear equations, Check your solution.
If no solution, write "no solution"If Infinite solutions, write "Infinitely many solutions"If it has one solution, Write the solution as an ordered pair (x, y)
Solve the system of linear equations, Check your solution.
If no solution, write "no solution"
If Infinite solutions, write "Infinitely many solutions"
If it has one solution, Write the solution as an ordered pair (x, y)
1
Solve the system of linear equations, Check your solution.
If no solution, write "no solution"If Infinite solutions, write "Infinitely many solutions"If it has one solution, Write the solution as an ordered pair (x, y)
Solve the system of linear equations, Check your solution.
If no solution, write "no solution"
If Infinite solutions, write "Infinitely many solutions"
If it has one solution, Write the solution as an ordered pair (x, y)
Independent Practice
1
Create a system of equations that has infinitely many solutions.
Create a system of equations that has infinitely many solutions.
1
Create a system of equations that has no solution.
Create a system of equations that has no solution.
5
Use only the slopes and y-intercepts of the graphs of the equations to determine the number of solutions of the system.
Equation #1:
Slope: _______
Y-intercept: _______
Equation #2:
Slope: _______
Y-intercept: _______
Solution to the system: _______

