Log in
Sign up for FREE
arrow_back
Library
5.1-5.4 Linear Systems of Equations Quiz
By Meghan Rhymes
star
star
star
star
star
Share
share
Last updated almost 2 years ago
9 questions
Add this activity
Show all necessary work to complete each problem.
2
1
3
4
5
5
4
Extra Credit!
0
0
Question 1
1.
-17
75
46
visibility
View drawing
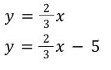
Question 2
2.
Which statement is true for the given system of equations?
There is exactly one solution to the system
There are no solutions to the system
There are infinite number of solutions
visibility
View drawing
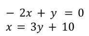
Question 3
3.
Which statement is true for the given system of equations?
There are no solutions to the system
There are infinite number of solutions
There is exactly one solution to the system
visibility
View drawing
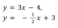
Question 4
4.
Solve the system of equations by graphing.
What is the solution to the system?
visibility
View drawing
Question 5
5.
Solve the system of linear equations by
substitution
.
visibility
View drawing
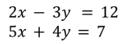
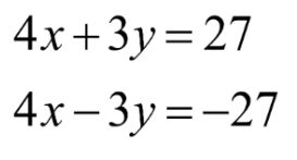
Question 6
6.
Solve the system of linear equations by
elimination
.
visibility
View drawing
Question 7
7.
0
1
2
visibility
View drawing
Question 8
8.
Extra Credit!
-1
1
visibility
View drawing
Question 9
9.
Extra Credit!
16
32
36
visibility
View drawing
12
infinitely many
72