Log in
Sign up for FREE
arrow_back
Library

Algebra I Ch. 5 Test: Systems of Equations & Inequalities

star
star
star
star
star
Last updated about 2 years ago
14 questions
Linear Systems
1
1
3
4
4
4
4
10
3
2
2
Extra Credit
0
0
0
Question 1
1.

To solve a system of linear equations using the graphical method, one can find the point of ...?

Question 2
2.

Question 3
3.

Graph lines l and m on the xy-coordinate plane shown.
Then plot the point of intersection T.


What are the coordinates for Point T?

Question 4
4.

Graph the linear inequality.

Question 5
5.

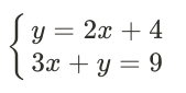
Solve the system of linear equations by substitution.

Question 6
6.

Solve the system by elimination.

Question 7
7.
Determine whether each point is a part of the solution set to the system of linear inequalities.

Type "yes" or "no" for each ordered pair.



a. (2,-2) _______

b. (0,0) _______

c. (4,1) _______

d. (-1,-3) _______
Question 8
8.

Graph the following system of inequalities. Determine the solution set by shading the graph then identify one ordered pair that is a solution.

Question 9
9.

Question 10
10.

A system of linear equations for the variables x and y is shown.



For what value of c, if any, will this system have no solution?

Question 11
11.
Jailyn has received two job offers for selling cars.
  • Kars for Less offers Jailyn a salary of $1,500 per month, plus a commission of $100 for every car she sells.
  • Cool Cars offers Jailyn a salary of $2,000 per month, plus a commission of $75 for every car she sells.
Let M represent the total monthly earning, in dollars, and let n represent the number of cars sold in a month. For each company, write an equation that represents the relationship between M and n for each company.

Enter your equations in the space provided.

Equation #1: _______
Equation #2: _______
Question 12
12.

EXTRA CREDIT!

Evelyn played with her hamster pet while doing her homework. The mischievous hamster bit out one of the coefficients of x in the system of linear equations. But Evelyn was not worried since the solutions were on the worksheet. She knew exactly what to do to get the missing number.
The problem and the solution are given below. What was the missing number and how did Evelyn figure out the missing number. Show work and explain.


Question 13
13.

EXTRA CREDIT!

Part A: Graph the cost and revenue equations on the coordinate plane.




Part B: How many items must the company sell to break even?

Question 14
14.

What helped you learn the topics this unit the best?

Be specific so that I can be sure to incorporate those into our next units. Also, if there is any other way you like to learn that I have not done, please share!

The point where two lines intersect on the coordinate plane is called the ____________.
infinity
solution
parallel line
inequality
Jada would like to earn at least $120 per month. She babysits for $5 per hour and works at an ice cream shop for $8 per hour. Jada cannot work more than a total of 20 hours per month. Let x represent the number of hours Jada babysits and let y represent the number of hours Jada works at the ice cream shop.

Which graph shows the set of points that represents the number of hours that Jada can work in order to earn at least $120 and not work more than 20 hours per month?