Log in
Sign up for FREE
arrow_back
Library

5.7b Systems of Linear Inequalities Word Problems

star
star
star
star
star
Last updated almost 2 years ago
9 questions
Do Now
1
Systems of Linear Inequalities Word Problems
1
1
1
1
Challenge Questions
1
1
1
1
Question 1
1.
Chapter 5 Test! January 24 (per. 1) or January 25 (per. 5)

Would you rather...
  1. Book or movie? _______
  2. Kids or Pets? _______
Question 2
2.

You can work at most 20 hours next week. You need to earn at least $92 to cover your weekly expenses. Your dog- walking job pays $7.50 per hour and your job as a car wash attendant pays $6 per hour. Write a system of linear inequalities and graph the system to model the situation.

You may graph on Desmos Calculator.

Question 3
3.

Marsha is buying plants and soil for her garden. The soil cost $4 per bag, and the plants cost $10 each. She wants to buy at least 5 plants and can spend no more than $100. Write a system of linear inequalities to model the situation. Then, graph the system.

Question 4
4.

Jonah is going to the store to buy candles. Small candles cost $3.50 and large candles cost $5.00. He needs to buy at least 20 candles, and he cannot spend more than $80. Write a system of linear inequalities that represent the situation. Then, graph the system.

Question 5
5.

John is packing books into boxes. Each box can hold either 15 small books or 8 large books. He needs to pack at least 35 boxes and at least 350 books. Write a system of linear inequalities to represent the situation. Then, graph the solution set.

Question 6
6.

You must show work to support your answer!


If the system of inequalities y > x + 3 and y > –x + 2 is graphed in the xy-plane shown here, which quadrants contain all the solutions to the system?

Question 7
7.

System of Equations Word Problem

Joey has $1.50. If he only has quarters and nickels and he has 14 coins total, how many nickels does he have?

Question 8
8.

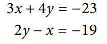
System of Equations Review


What is the solution (x,y) to the system of equations?

Question 9
9.

You may NOT use a calculator for this problem.


In the equations above, b and c represent the price per pound, in dollars, of beef and chicken, respectively, x weeks after July 1 during last summer. What was the price per pound of beef when it was equal to the price per pound of chicken?

Quadrants I and II
Quadrants II and III
Quadrants III and IV
Quadrants I and IV
(9,-6)
(3,-8)
$2.85
$2.95
$3.35