Log in
Sign up for FREE
arrow_back
Library
Unit 6 Study Guide
By Amber Mitchell
star
star
star
star
star
Share
share
Last updated almost 2 years ago
20 questions
Add this activity
zoom_in
Required
1
Required
1
Required
1
Required
1
Required
1
Required
1
Required
1
Required
1
zoom_in
Required
1
Required
1
Required
1
Required
1
Required
1
Required
1
Required
1
Required
1
Required
1
Required
1
zoom_in
Required
1
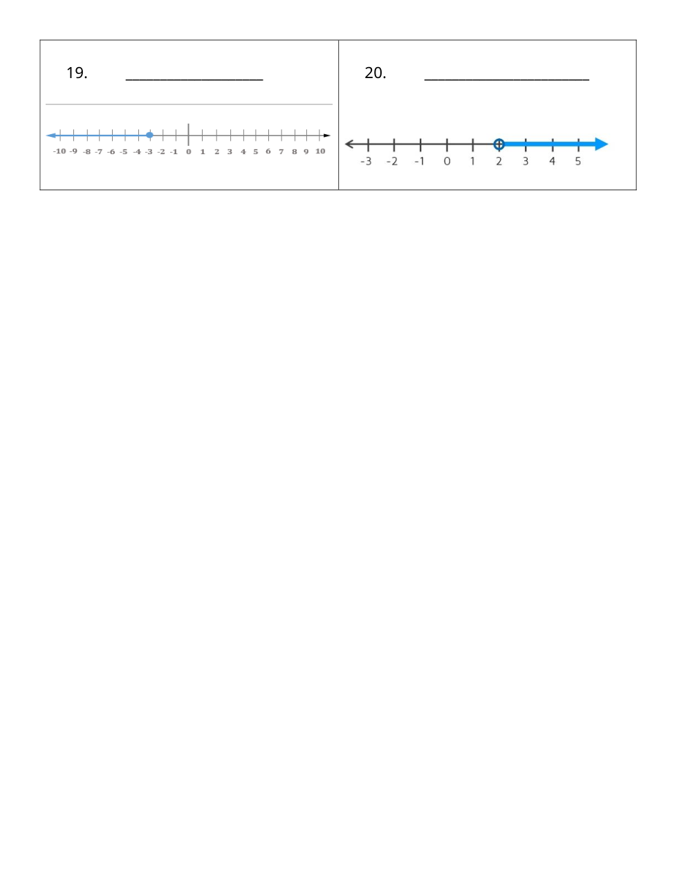
Question 19
19.
visibility
View drawing
Required
1
Question 20
20.
visibility
View drawing
Question 1
1.
visibility
View drawing
Question 2
2.
visibility
View drawing
Question 3
3.
visibility
View drawing
Question 4
4.
visibility
View drawing
Question 5
5.
visibility
View drawing
Question 6
6.
visibility
View drawing
Question 7
7.
visibility
View drawing
Question 8
8.
visibility
View drawing
Question 9
9.
Is it a solution? (show your work)
Question 10
10.
Is it a solution? (show your work)
Question 11
11.
Is it a solution? (show your work)
Question 12
12.
Is it a solution? (show your work)
Question 13
13.
Question 14
14.
Question 15
15.
Question 16
16.
Question 17
17.
Question 18
18.
A
B
C
D
E
F
A
B
C
D
E
F
A
B
C
D
E
F
A
B
C
D
E
F
A
B
C
D
E
F
A
B
C
D
E
F