U2D9 Function Notation Feb4
star
star
star
star
star
Last updated 7 months ago
40 questions
1
Use the defined functions to simplify each expression.
g(x) + h(x) = (2x - 3) + (4 - x) =
Use the defined functions to simplify each expression.
g(x) + h(x) = (2x - 3) + (4 - x) =
1
Use the defined functions to simplify each expression.
j(x) - g(x) = (3x) - (2x - 3) =
Use the defined functions to simplify each expression.
j(x) - g(x) = (3x) - (2x - 3) =
1
Use the defined functions to simplify each expression.
Use the defined functions to simplify each expression.
1
Use the defined functions to simplify each expression.
Use the defined functions to simplify each expression.
Use the defined functions to simplify each expression.
1
Use the defined functions to simplify each expression.
Use the defined functions to simplify each expression.
1
Use the defined functions to simplify each expression.
Use the defined functions to simplify each expression.
1
Use the defined functions to simplify each expression.
Use the defined functions to simplify each expression.
1
Use the defined functions to evaluate each expression.
Use the defined functions to evaluate each expression.
1
Use the defined functions to evaluate each expression.
Use the defined functions to evaluate each expression.
1
Use the defined functions to evaluate each expression.
Use the defined functions to evaluate each expression.
1
Use the defined functions to evaluate each expression.
Use the defined functions to evaluate each expression.
1
Use the defined functions to evaluate each expression.
Use the defined functions to evaluate each expression.
1
Use the defined functions to evaluate each expression.
Use the defined functions to evaluate each expression.
1
Use the defined functions to evaluate each expression.
Use the defined functions to evaluate each expression.
1
Use the defined functions to evaluate each expression.
Use the defined functions to evaluate each expression.
Function Composition
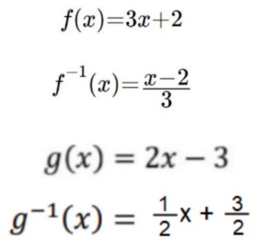
Notes on inverses:
1
Use the defined functions to simplify each expression.
Use the defined functions to simplify each expression.
1
Use the defined functions to simplify each expression.
Use the defined functions to simplify each expression.
1
Use the defined functions to simplify each expression.
Use the defined functions to simplify each expression.
1
Use the defined functions to simplify each expression.
Use the defined functions to simplify each expression.
1
Use the defined functions to simplify each expression.
Use the defined functions to simplify each expression.
1
What is the inverse of k(x)?or Find k-1(x).* Scroll down on the left to find notes on inverses.
What is the inverse of k(x)?
or
Find k-1(x).
* Scroll down on the left to find notes on inverses.
1
What is the inverse of g(x)?or Find g-1(x).* Scroll down on the left to find notes on inverses.
What is the inverse of g(x)?
or
Find g-1(x).
* Scroll down on the left to find notes on inverses.
1
What is the inverse of h(x)?or Find h-1(x).* Scroll down on the left to find notes on inverses.
What is the inverse of h(x)?
or
Find h-1(x).
* Scroll down on the left to find notes on inverses.
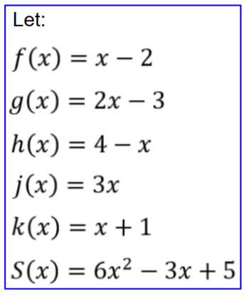
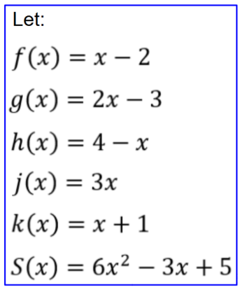
Let:
1
Use the defined functions to simplify each expression.
Use the defined functions to simplify each expression.
1
Use the defined functions to simplify each expression.
same as
Use the defined functions to simplify each expression.
same as
1
Use the defined functions to simplify each expression.
Use the defined functions to simplify each expression.
Function Composition with Inverses
What happens if we use function composition with inverse functions?
1
Use the defined functions to simplify each expression.
_______
1
Use the defined functions to simplify each expression.
_______
1
Use the defined functions to simplify each expression.
_______
1
Use the defined functions to simplify each expression.
_______
1
How can we find out if W(x) is the inverse of M(x)?
How can we find out if W(x) is the inverse of M(x)?
Let:
1
Use the defined functions to simplify each expression.
Use the defined functions to simplify each expression.
1
Use the defined functions to simplify each expression.
Use the defined functions to simplify each expression.
1
Use the defined functions to simplify each expression.
Use the defined functions to simplify each expression.
1
Use the defined functions to simplify each expression.
Use the defined functions to simplify each expression.
1
Use the defined functions to simplify each expression.
Find f-1(x).
Use the defined functions to simplify each expression.
Find f-1(x).
1
Use the defined functions to simplify each expression.
Find g-1(x).
Use the defined functions to simplify each expression.
Find g-1(x).
1
Use the defined functions to simplify each expression.
Use the defined functions to simplify each expression.
1
Use the defined functions to simplify each expression.
Use the defined functions to simplify each expression.
1
Use the defined functions to simplify each expression.
Use the defined functions to simplify each expression.