Log in
Sign up for FREE
arrow_back
Library
5.6 Exit Ticket: Adding and Subtracting Radicals
By Miss Douglas
star
star
star
star
star
Share
share
Last updated about 1 year ago
2 questions
Add this activity
Required
1 point
1
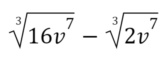
Question 1
1.
visibility
View drawing
Required
1 point
1
Question 2
2.
visibility
View drawing