Log in
Sign up for FREE
arrow_back
Library
Week 2 Quiz: Solving Quadratic Equations
By James Parson
star
star
star
star
star
Share
share
Last updated about 2 hours ago
7 questions
Add this activity
Required
10
Required
10
Required
10
Required
10
Required
10
Required
10
Required
10
Question 1
1.
Solve this equation.
visibility
View drawing
Question 2
2.
Solve this equation.
visibility
View drawing
Question 3
3.
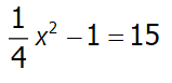
Solve this quadratic equation by taking the square root.
visibility
View drawing
Question 4
4.
Solve this quadratic equation by taking the square root.
visibility
View drawing
Question 5
5.
Solve this quadratic equation by taking the square root.
visibility
View drawing
Question 6
6.
Solve this quadratic equation by taking the square root.
visibility
View drawing
Question 7
7.
Solve this quadratic equation by taking the square root.
visibility
View drawing