Log in
Sign up for FREE
arrow_back
Library

Algebra I Ch. 5 Study Guide

star
star
star
star
star
Last updated almost 2 years ago
18 questions
1
1
4
4
4
1
1
1
1
1
1
1
5
5
6
6
1
1
Question 1
1.

The point (1,2) is a solution to the system of equations.

Question 2
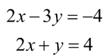
2.

Which statement is true for the given system of equations?


Question 3
3.
Set up a system of linear equations and solve it.
You may use Desmos Calculator to find the solution.

Tickets for the school play are $3 for students and $5 for adults. On opening night you sell 937 tickets and collect $3943. How many tickets were sold to students and to adults?

Equation 1: _______
Equation 2: _______

Tickets sold to students: _______
Tickets sold to adults: _______
Question 4
4.
A test worth 100 points will consist of 38 questions. Each long answer question will be worth 5 points and each short answer question will be worth 2 points. How many of each type of question will be on the test?

Number of long answer questions: _______
Number of short answer questions: _______
Question 5
5.
Seven hot dogs and four hamburgers cost $13.00. Four hot dogs and seven hamburgers cost $14.50. Find the cost of one hot dog and the cost of one hamburger.

You should NOT use Desmos for this problem, but you may use a regular calculator to divide.

Cost of One Hot Dog: _______
Cost of One Hamburger: _______
Question 6
6.

Solve the systems by graphing.

Question 7
7.

Solve the system by substitution.


Question 8
8.

Solve the system by elimination.


Question 9
9.

Solve the system of equations using the method of your choice.


Question 10
10.

Solve the system of equations using the method of your choice.


Question 11
11.

Solve the system of equations using the method of your choice.


Question 12
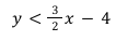
12.

Graph the following linear inequality:

Does the point (2,-1) fall in the solution region? Explain.

Question 13
13.

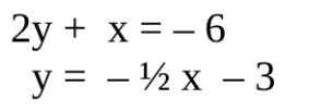
Graph the following system of inequalities.

Clearly label the solution region. State two possible solutions for each.

Question 14
14.

Graph the following system of inequalities.

Clearly label the solution region. State two possible solutions for each.

Question 15
15.
Write the system of linear equations represented in each graph.
List one possible solution to each system.


Inequality #1: _______
Inequality #2: _______
One possible solution: _______
Question 16
16.
Write the system of linear equations represented in each graph.
List one possible solution to each system.

Inequality #1: _______
Inequality #2: _______
One possible solution: _______
Question 17
17.

Challenge Question!

Given the equations below, what is the value of


Question 18
18.

Finished with all greens?

Go to Khan Academy and complete: "Systems of inequalities graphs"

Chapter 5 TEST next class!
there are no solutions to the system
every ordered pair is a solution
-6
-1
0
1
6
Challenge Question!

Given the equations below, what is the value of



25
49
81