Log in
Sign up for FREE
arrow_back
Library

4.5 Linear Equation Review (Due 1/29/24)

star
star
star
star
star
Last updated about 2 months ago
13 questions
Required
5
8.EE.8.a
8.EE.8.b
…
Required
10
8.EE.8.a
8.EE.8.b
…
Required
10
8.EE.8.a
8.EE.8.b
…
Required
10
8.EE.8.a
8.EE.8.b
…
Required
2
8.EE.8.a
8.EE.8.b
…
Required
20
Required
20
Required
20
Required
20
Essential Question: How can you solve a system of equations algebraically?

Learning Target: Students will be able to use the elimination method to solve a system of equations that represent real-world situations.

Complete the entire assignment and show work for full credit.
Question 1
1.

Three siblings are participating in a family-friendly running event.

  • The oldest sibling begins at the start line of the race and runs 7 miles per hour the entire time.
  • The middle sibling begins at the start line and walks at 3.5 miles per hour throughout the race.
  • The youngest sibling joins the race 4 miles from the start line and runs 5 miles per hour the rest of the way.
Which graph (A, B, or C) represents the youngest sibling? How do you know?

Question 2
2.

Volunteer drivers are needed to bring 80 students to the championship baseball game. Drivers either have cars, which can seat 4 students, or vans, which can seat 6 students. The equation 4c+6v=80 describes the relationship between the number of cars c and number of vans v that can transport exactly 80 students.

Explain how you know that this graph represents this equation.

Question 3
3.

Explain or show that the point (5,-4) is a solution to this system of equations:


Question 4
4.

Here are two equations:

Equation 1: 6x+4y=34

Equation 2: 5x-2y=15

Is (3,4) a solution to this system of equations? Use complete sentences and support your response with math.

Required
10
8.EE.8.a
8.EE.8.b
…
Required
10
8.EE.8.a
8.EE.8.b
…
Required
10
8.EE.8.a
8.EE.8.b
…
Required
20
8.EE.8.a
8.EE.8.b
…
Question 9
9.

Question 10
10.
Solve each word problem using substitution or elimination.

The knitting club sold 40 scarves and hats at a winter festival and made $700 from the sales. They charged $18 for each scarf and $14 for each hat.

If s represents the number of scarves sold and h represents the number of hats sold, which system of equations represents the constraints in this situation?

Number of Scarves _______
Number of Hats _______

Day 2 1/29/24

Solving Linear Equations using Elimination, Substitution, or Graphing

Question 11
11.
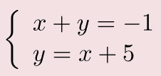
Solve the following system of equations using elimination or substitution:




Question 12
12.
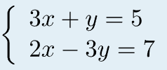
Solve the following system of equations using elimination or substitution:





Question 13
13.

Solve the following system of equations by graphing:


Creating a System of Equations

Question 5
5.

Diego is thinking of two positive numbers. He says, “If we triple the first number and double the second number, the sum is 34.”

Write an equation that represents Diego's description.

Question 6
6.
Diego is thinking of two positive numbers. He says, “If we triple the first number and double the second number, the sum is 34.”

Find two possible pairs of numbers Diego could be thinking of. (There are several possibilities.)



1st Pair _______ and _______
2nd Pair _______ and _______
Question 7
7.

Diego is thinking of two positive numbers. He says, “If we triple the first number and double the second number, the sum is 34.”

Diego then says, “If we take half of the first number and double the second, the sum is 14.”

Write an equation that could represent his second equation.

Question 8
8.
Diego is thinking of two positive numbers. He says, “If we triple the first number and double the second number, the sum is 34.”

Diego then says, “If we take half of the first number and double the second, the sum is 14.”



What are Diego’s two numbers?

1st Number _______
2nd Number _______
The knitting club sold 40 scarves and hats at a winter festival and made $700 from the sales. They charged $18 for each scarf and $14 for each hat.

If s represents the number of scarves sold and h represents the number of hats sold, which system of equations represents the constraints in this situation?