Log in
Sign up for FREE
arrow_back
Library
Ch 8 Mid Ch Check
By Dana Morrison
star
star
star
star
star
Share
share
Last updated about 2 years ago
10 questions
Add this activity
Required
10
5.NF.7.a
5.NF.7.b
Required
10
5.NF.7.a
5.NF.7.b
Required
10
5.NF.7.a
5.NF.7.b
Required
10
5.NF.7.a
5.NF.7.b
Required
10
5.NF.7.a
5.NF.7.b
Required
10
5.NF.7.a
5.NF.7.b
Required
10
5.NF.7.a
Required
10
5.NF.7.b
Required
10
5.NF.7.a
Required
10
5.NF.7.a
Question 1
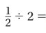
1.
Question 2
2.
Question 3
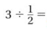
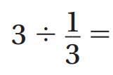
3.
Question 4
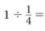
4.
Question 5
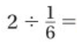
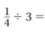
5.
Question 6
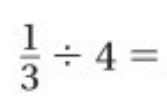
6.
Question 7
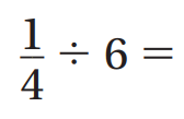
7.
Each friend gets _______ of a quart of milk.
Question 8
8.
Makayla has ______ pieces of ribbon.
Question 9
9.
Question 10
10.