Log in
Sign up for FREE
arrow_back
Library

Algebra 2 - Quadratics

star
star
star
star
star
Last updated about 2 years ago
12 questions
Note from the author:
Required
1
Required
1
Required
1
Required
1
Required
1
Required
1
Required
1
Required
1
Required
1
Required
1
Required
1
Required
1
  • Graph transformations
  • Identifying key features of a quadratic function (vertex, axis of symmetry, zeros/roots, interval of increase/decrease, interval of positivity/negativity, domain, range)
  • Converting from vertex or factored form into standard form
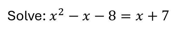
  • Solving quadratic equations through factoring or the quadratic formula
Question 1
1.

Question 2
2.


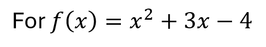
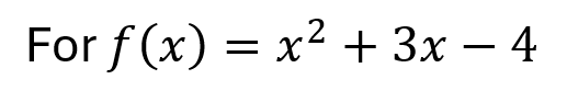
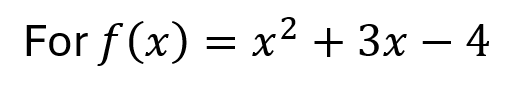
State the y intercept

Question 3
3.


State the zeros (x intercepts) if any

Question 4
4.


State the interval(s) where f(x) is negative

Question 5
5.

State its vertex

Question 6
6.

State the equation for its axis of symmetry

Question 7
7.

State the interval(s) over which it's increasing

Question 8
8.

State the domain of the function

Question 9
9.

State the range of the function

Question 10
10.

Question 11
11.

Question 12
12.

Up 2
Down 2
Left 2
Right 2
Up 3
Down 3
Left 3
Right 3
Up 1
Down 1
Left 1
Right 1
Reflected over x axis
Stretched by a factor of 2
Stretched by a factor of 1/2
Reflected over y axis