TEST Circles
star
star
star
star
star
Last updated over 1 year ago
23 questions
Required
4.35
Name a chord.
Name a chord.
Required
4.35
Name the segment that is considered a chord and a diameter.
Name the segment that is considered a chord and a diameter.
Required
4.35
The wheels on Elliot's truck each have a circumference of 22 inches. Determine the radius of each wheel to the nearest length.
The wheels on Elliot's truck each have a circumference of 22 inches. Determine the radius of each wheel to the nearest length.
4.35
In Circle C the measure of arc AB is 72 degrees. Find the measure of angle BCD.
In Circle C the measure of arc AB is 72 degrees. Find the measure of angle BCD.
4.35
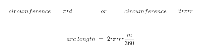
Find the length of arc PQ in circle R to the nearest hundredth.
Find the length of arc PQ in circle R to the nearest hundredth.
4.35
In Circle X radius WX is 16 and the measure of angle ZXY is 88 degrees. Find the length of arc ZY to the nearest tenth.
In Circle X radius WX is 16 and the measure of angle ZXY is 88 degrees. Find the length of arc ZY to the nearest tenth.
4.35
Find the circumference of the circle in the figure.
Find the circumference of the circle in the figure.
Required
4.35
Find the measure of angle ABC.
Find the measure of angle ABC.
Required
4.35
Find the measure of angle P.
Find the measure of angle P.
4.35
In the figure, Circle G is congruent to Circle H and arc EF is congruent to arc KL. What is the length of segment KL?
In the figure, Circle G is congruent to Circle H and arc EF is congruent to arc KL. What is the length of segment KL?
4.35
Find the value of X.
Find the value of X.
4.35
The right triangle JKL is inscribed in circle M, as shown. Which of the following is the best estimate of the circumference of circle M?
The right triangle JKL is inscribed in circle M, as shown. Which of the following is the best estimate of the circumference of circle M?
Required
4.35
What is the measure of angle A?
What is the measure of angle A?
Required
4.35
Find the measure of angle K.
Find the measure of angle K.
4.35
Find the length of arc JK.
Find the length of arc JK.
4.35
Find the value of x.
Find the value of x.
4.35
What is the measure of arc SQ?
What is the measure of arc SQ?
4.35
Find the value of x.
Find the value of x.
4.35
What is the diameter of this circle?
What is the diameter of this circle?
4.35
What is the measure of arc GH?
What is the measure of arc GH?
4.35
What is the measure of arc NQ?
What is the measure of arc NQ?
4.35
What is the measure of arc DE?
What is the measure of arc DE?
4.35
What is the measure of arc DEB?
What is the measure of arc DEB?