21. 2. 2024 - Večkotniki. Potence. Izrazi s spremenljivkami - A
star
star
star
star
star
Last updated over 1 year ago
24 questions
1
Kateri večkotnik nima diagonal?
Kateri večkotnik nima diagonal?
1
Koliko diagonal lahko narišeš iz enega oglišča 22-kotnika?
Koliko diagonal lahko narišeš iz enega oglišča 22-kotnika?
1
Koliko stopinj meri vsota zunanjih kotov v 8-kotniku?
Koliko stopinj meri vsota zunanjih kotov v 8-kotniku?
1
Kdaj je večkotnik pravilen?
Kdaj je večkotnik pravilen?
1
Dopolni poved. V zapisu se število 2 imenuje ...
Dopolni poved.
V zapisu
se število 2 imenuje ...
1
Izračunaj.
Izračunaj.
1
Izberi pravilno vrednost, da bo trditev pravilna:
Izberi pravilno vrednost, da bo trditev pravilna:
1
Izberi pravilno vrednost, da bo trditev pravilna:
Izberi pravilno vrednost, da bo trditev pravilna:
1
Izberi pravilno vrednost, da bo trditev pravilna:
Izberi pravilno vrednost, da bo trditev pravilna:
1
Izberi pravilno vrednost, da bo trditev pravilna:
Izberi pravilno vrednost, da bo trditev pravilna:
1
Izračunaj:
Izračunaj:
1
Izračunaj:
Izračunaj:
1
Izračunaj:
Izračunaj:
1
Spretno izračunaj:
Spretno izračunaj:
1
Izpiši koeficient enočlenika - 8z.
Izpiši koeficient enočlenika - 8z.
1
Izberi enočlenik, ki je podoben enočleniku - 4xy.
Izberi enočlenik, ki je podoben enočleniku - 4xy.
1
Poenostavi izraz. Združi podobne enočlenike.
3a - 7b - 5a + 4b =
Poenostavi izraz. Združi podobne enočlenike.
3a - 7b - 5a + 4b =
1
Zmnoži enočlenika.
- 5a * 4b =
Zmnoži enočlenika.
- 5a * 4b =
1
Izberi pravilni zapis: število a je za pet manjše od števila b.
Izberi pravilni zapis: število a je za pet manjše od števila b.
1
je iracionalno število.
je iracionalno število.
1
Ali je zapis pravilen?
Ali je zapis pravilen?
1
Ali je trditev pravilna? je naravno število.
Ali je trditev pravilna?
je naravno število.
1
Izmed danih izrazov izberi tista dva, katerih zmnožek je enak
Izmed danih izrazov izberi tista dva, katerih zmnožek je enak
1
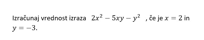
Izračunaj vrednost izraza za dane vrednosti spremenljivk (naloga zgoraj).
Izračunaj vrednost izraza za dane vrednosti spremenljivk (naloga zgoraj).
