SAT Introduction - Getting used to Desmos!
star
star
star
star
star
Last updated almost 2 years ago
3 questions
1
Select the y-intercept.
Select the y-intercept.
1
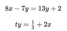
In this system of equations, t is a constant. If the system has no solution, what is the value of t?
In this system of equations, t is a constant. If the system has no solution, what is the value of t?
1
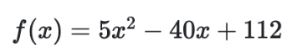
The given equation defines the function f. For what value of x does does f(x) reach its minimum?
The given equation defines the function f. For what value of x does does f(x) reach its minimum?