Log in
Sign up for FREE
arrow_back
Library
4.9 Imaginary Numbers (Due 2/29/2024)
By James Parson
star
star
star
star
star
Share
share
Last updated about 2 months ago
10 questions
Add this activity
Required
5
Required
5
Required
5
Required
20
Required
20
Required
20
Required
20
Required
20
Required
20
Required
20
Essential Question: How can we apply imaginary numbers to solve real-world problems and mathematical equations?
Learning Objective: Students will use imaginary numbers to solve quadratic equations.
Complete the entire document and use full sentences when prompted for full credit. Responses without work will receive no points.
Question 1
1.
Complete the square for each expression. Write the resulting expression as a binomial squared.
visibility
View drawing
Question 2
2.
Complete the square for each expression. Write the resulting expression as a binomial squared.
visibility
View drawing
Question 3
3.
Complete the square for each expression. Write the resulting expression as a binomial squared.
visibility
View drawing
Question 4
4.
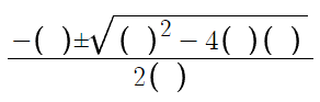
Solve this quadratic using any method. Write the answer in the simplest form.
Solution 1_______
Solution 2 _______
visibility
View drawing
Question 5
5.
Solve this quadratic using any method. Write the answer in the simplest form.
Solution 1_______
Solution 2 _______
visibility
View drawing
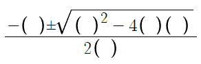
Question 6
6.
Solve this quadratic using any method. Write the answer in the simplest form.
Solution 1_______
Solution 2 _______
visibility
View drawing
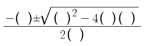
Question 7
7.
Solve this quadratic using any method. Write the answer in the simplest form.
Solution 1_______
Solution 2 _______
visibility
View drawing
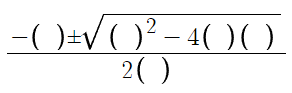
Question 8
8.
Solve this quadratic using any method. Write the answer in the simplest form.
Solution 1_______
Solution 2 _______
visibility
View drawing
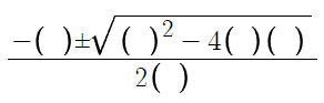
Question 9
9.
Solve this quadratic using any method. Write the answer in the simplest form.
Solution 1_______
Solution 2 _______
visibility
View drawing
Question 10
10.
Solve this quadratic using any method. Write the answer in the simplest form.
Solution 1_______
Solution 2 _______
visibility
View drawing