Log in
Sign up for FREE
arrow_back
Library
7.7 Exit Ticket: Solving Rational Equations
By Miss Douglas
star
star
star
star
star
Share
share
Last updated over 1 year ago
2 questions
Add this activity
1
1
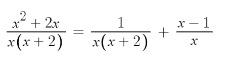
Question 1
1.
What is a solution to the following equation?
visibility
View drawing
Question 2
2.
x = 0
visibility
View drawing
What is a solution to the following equation?
x = 1
x = -2
x = 2
x = -1
x = \frac{1}{2}