Log in
Sign up for FREE
arrow_back
Library
7.2 Task VERSION 2 (with numbers, no puzzle)
By Miss Douglas
star
star
star
star
star
Share
share
Last updated over 1 year ago
7 questions
Add this activity
If the answer is none, then write None
H.A.
y=#
for example y=0 (no space)
V.A. and Holes
x=#
(no space)
Definition: in a way that produces or results in a large amount of something
Required
1
Question 1
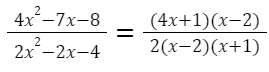
1.
H.A. _______
V.A. _______
Hole _______
Required
1
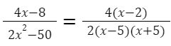
Question 2
2.
H.A. _______
V.A. _______
Hole _______
Required
1
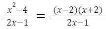
Question 3
3.
H.A. _______
V.A. _______
Hole _______
Required
1
Question 4
4.
H.A. _______
V.A. _______
Hole _______
Required
1
Question 5
5.
H.A. _______
V.A. _______
Hole _______
Required
1
Question 6
6.
H.A. _______
V.A. _______
Hole _______
Required
1
Question 7
7.
H.A. _______
V.A. _______
Hole _______