Log in
Sign up for FREE
arrow_back
Library
Exponential Functions Quiz
By Larry Mooney
star
star
star
star
star
Share
share
Last updated almost 2 years ago
8 questions
Add this activity
Required
1
Required
1
Required
1
Required
1
Required
1
Required
1
Required
1
Required
1
Question 1
1.
Does this graph show exponential growth or exponential decay?
Exponential decay
Exponential growth
Question 2
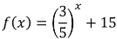
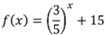
2.
Evaluate f(18)
15.0001
16.0007
8.0006
18.0000
Question 3
3.
What is the y-intercept?
(0,8)
(0,16)
(2,(8)
(0,15)
Question 4
4.
What is the asymptote?
y=13
y=15
x=15
y=8
Question 5
5.
Does this graph show exponential growth or exponential decay?
Exponential growth
Exponential decay
Question 6
6.
Evaluate f(-8)
(-10, 5.0002
(2,8)
(-8 , 5)
(-8 , 4.0006)
Question 7
7.
What is the y-intercept?
(29,0)
(0,10)
(0,29)
(0,8)
Question 8
8.
What is the asymptote?
y=24
y=4
y=2
x=4