Log in
Sign up for FREE
arrow_back
Library

Exponential Functions Unit REVIEW

star
star
star
star
star
Last updated almost 2 years ago
25 questions
Required
1
Required
1
Required
1
Required
1
Required
1
Required
1
Required
1
Required
1
Required
1
Required
1
Required
1
Required
1
Required
1
Required
1
Required
1
Required
1
Required
1
Required
1
Required
1
Required
1
Required
1
Required
1
Required
1
Required
1
Required
1
Question 1
1.

What is the range for this function?

Question 2
2.

What is the domain for this function?

Question 3
3.

Question 4
4.

Question 5
5.

Is this an example of exponential growth or decay?

Question 6
6.

Sophie invested $5000 into an account that will increase in value by 2.3% each year.
Write a function to model this situation.

Question 7
7.

Which function(s) represents exponential decay.
May be more than one.

Question 8
8.

Jack bought a new car in 2014 for $28,000. If the value of the car decreases by 14% each year, write an exponential equation model for the value of the car in 2018.

Question 9
9.

A baseball card that was valued at $200 in 1980 has increased in value by 7% each year. Write a function to model what the value of the card would be in 2017.

Question 10
10.

Which exponential function represents the graph below?

Question 11
11.

Which exponential function matches the data shown?

Question 12
12.

What is the range of the function below?

Question 13
13.

What is the domain of the function below?

Question 14
14.

Find the equation that that best fits this data.

Question 15
15.

First find the equation for this set of exponential data.

Then find the value of the stock in the year 2025.

Question 16
16.

What is the range for this function?

Question 17
17.

What is the domain for this function?

Question 18
18.

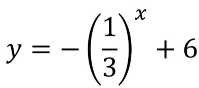
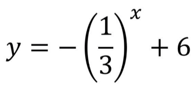
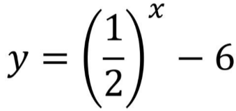
What is the asymptote for this function?

Question 19
19.

What is the asymptote for this function?

Question 20
20.

What is the asymptote for this graph?

Question 21
21.

What is initial amount from this function?

Question 22
22.

This is a table showing population in Texas in millions.


Find an estimate of the population in 2020 based off this table.

Question 23
23.

The original value of an investment is $1,800.
If the value has increased by 7% each year, write an exponential function to model the situation.

Question 24
24.

Manny bought a brand new car in 2012 for $28,750. The car depreciates by 12% each year. Write an exponential function to model the situation.

Question 25
25.

First find the equation from this data.


Then evaluate that function at the x value of -8.

When x= -8, y =______

What is the asymptote of this graph?

y=-3
y=-2
y=-5
x=-5

What is the y-intercept of this graph?


5
-3
-5
6
$5,025.65
45.53 million
49.94
38.58