Log in
Sign up for FREE
arrow_back
Library

RRD Year Review #3

star
star
star
star
star
Last updated about 2 years ago
25 questions
1
1
1
1
1
1
1
1
1
1
1
1
1
1
1
1
1
1
1
1
1
1
1
1
1
Question 1
1.

Question 2
2.
For Items 4 and 5, use the diagram shown. Lines p and q are parallel.


The measure of angle 4 is _______ degrees.
Question 3
3.

Question 4
4.
Find the distance between point A and point B. Round your answer to the nearest whole unit.


AB=_______ units
Question 5
5.
Find the distance between point A and point B. Round your answer to the nearest tenth of a unit.


AB=_______ units
Question 6
6.
What is the volume of the cone? Use 3.14 for pi and round your answer to the nearest cubic inch.


Volume=_______ cubic units
Question 7
7.

Question 8
8.
What is the volume of the cylinder? Write your answer in terms of pi.

Volume = _______ cm3
Question 9
9.

Question 10
10.

Question 11
11.

The scatter plot shows the time spent at hockey practice each week compared to goals scored at games.



In slope-intercept form, what is the equation of the trend line?

Question 12
12.

Question 13
13.
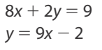
Solve the system of equations.


x=_______
y=_______
Question 14
14.

Question 15
15.

Question 16
16.

Question 17
17.

Question 18
18.

Question 19
19.

Question 20
20.

Question 21
21.
Joseph graphs how much money he makes per hour on his newspaper delivery route. He finds that the graph tends to be linear and draws a line that passes through the points (3, 16.5) and (8, 44). About how much does he earn per hour?

Joseph makes $_______ per hour.
Question 22
22.

Question 23
23.

Question 24
24.

Question 25
25.

Select the triangle that is a right triangle.
Which set of side lengths forms a right triangle?
11 cm; 2 cm; 5 cm
10 m; 8 m; 6 m
4 units; 5 units; 7 units
6 in.; 13 in.; 11 in.
A can of pasta sauce has a diameter of 3 inches and holds 50 cubic inches of sauce. What is the height of the can? Use 3.14 for pi and round your answer to the nearest tenth.
1.8 inches
5.3 inches
10.6 inches
7.1 inches
Which trend line is the best model of the data presented?

A
B
C
Which type of association does the scatter plot show?

Strong positive
Strong negative
Weak negative
Nonlinear
A
B
C
D
Is the function shown linear or nonlinear?

Linear
Nonlinear
Select all the statements that describe the graph shown.

The rate of change is constant.
The graph is linear.
The graph is nonlinear.
The graph is increasing.
The graph is decreasing.
Which function has a greater initial value?

Function A
Function B
Solve the equation

Solve the equation

Consider the two functions shown in the tables. Which of these functions is linear?

Function A
Function B
What is the number 0.00000329 written in scientific notation?
0.329 × 106
3 × 10-6
3.29 × 10-6
329 × 10-8
Select all the numbers that are rational
The graph of a proportional relationship and an equation are shown.



Which has the greater unit rate, the graph or the equation?
The graph
The equation
Which function has the greater rate of change?

Function A
Function B
Compare the proportional relationships and determine which store has the lowest price per liter of orange juice.


Store A
Store B