Log in
Sign up for FREE
arrow_back
Library

U5D1 Intro to the Matrix Apr1

star
star
star
star
star
Last updated 12 months ago
17 questions
1
1
1
1
1
1
1
Setting Up a Matrix

A local shop sells three types of pies. This is how many they sold in 4 days.


This data be converted to the 3 x 4 matrix:

1
1
1
1
1
Adding and Subtracting Matrices
1
1
1
Scalar Multiplication and Properties of Matrices
1
Question 9
9.
1
Question 11
11.
Perform the indicated operation to find the value of a, b, c and d.


a =_______
b =_______
c =_______
d =_______
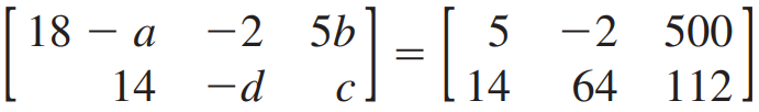
Question 12
12.
Perform the indicated operation to find the value of a, b, c and d.


a =_______
b =_______
c =_______
d =_______
Question 13
13.
Perform the indicated operation to find the value of a, b, c and d.

Hint: PEMDAS, add the matrices in ( ) first, then multiply.
a =_______
b =_______
c =_______
d =_______
Question 14
14.
Solve the matrix equation for a, b, c and d.

a = _______
b = _______
c = _______
d = _______
Question 15
15.
Solve the matrix equation for a, b, c and d.


a = _______
b = _______
c = _______
d = _______
Question 16
16.
Solve the matrix equation for a, b, c and d.


a = _______
b = _______
c = _______
d = _______
Question 17
17.

How are matrices used in the real world?
Explore:
Open a different window. Perform a Google IMAGE search for "application of matrices" and attach an image or tell me about an interesting application for matrices.

DeltaMath Assignment
Dimensions of a Matrix


More examples of matrices:

Types of matrices:
Size of a matrix (row x column)

Question 1
1.
What are the dimensions of the matrix?

The matrix is _______ x _______.
Question 2
2.
What is the order of the matrix?


The matrix is _______ x _______.
Question 3
3.
What are the dimensions of the matrix?


The matrix is _______ x _______.
Question 4
4.
What is the order of the matrix?


The matrix is _______ x _______.
Question 5
5.
What are the dimensions of the matrix?


The matrix is _______ x _______.
Question 6
6.

Question 7
7.
Perform the indicated operation to find the value of a, b, c and d.

a =_______
b =_______
c =_______
d = _______
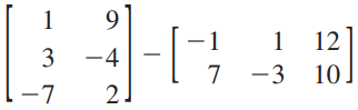
Question 8
8.
Perform the indicated operation to find the value of a, b, c and d.


a =_______
b =_______
c =_______
d =_______
Perform the indicated operation to find the value of a, b, c and d.
a = _______
b = _______
c = _______
d = _______
Question 10
10.
Perform the indicated operation to find the value of a, b, c and d.


a = _______
b = _______
c = _______
d = _______
Select the matrix addition (or subtraction) problems that can be performed.