Log in
Sign up for FREE
arrow_back
Library

14AB Practice

star
star
star
star
star
Last updated almost 2 years ago
14 questions
1
1
1
1
1
1
1
1
1
1
1
1
1
1
Question 1
1.

Question 2
2.

Question 3
3.

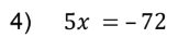
Question 4
4.
Thus, x = _______
Question 5
5.
Thus, x = _______
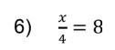
Question 6
6.
Thus, x = _______
Question 7
7.
Thus, x = _______
Question 8
8.

  1. Then, 3x = 135.
  2. Then, x = 45.
  3. Divide both sides by 3.
  4. Multiply both sides by 5.
Question 9
9.

  1. Multiply both sides by 3.
  2. Then, 84 = -4x.
  3. Divide both sides by -4.
  4. Then, -21 = x or x = -21.
For Problems 10 - 12,
Question 10
10.

A basketball player wants 60% of their 4,000 game day calories to come from carbohydrates. What is their target grams of carbs to eat? Round to the nearest gram.

Question 11
11.

A basketball player wants 20% of their 4,000 game day calories to come from fat. What is their target grams of fat to eat? Round to the nearest gram.

Question 12
12.

A basketball player wants 20% of their 4,000 game day calories to come from protein. What is their target grams of proteins to eat? Round to the nearest gram.

Question 13
13.

Question 14
14.

Hint: Round to the nearest person.