Log in
Sign up for FREE
arrow_back
Library

Unit 7 Part 2 Study Guide Check

star
star
star
star
star
Last updated over 1 year ago
6 questions
Multiplying & Dividing Rational Expressions
Required
1
Required
1
Adding & Subtracting Raional Expressions
Required
1
Required
1
Solving Rational Expressions
Required
1
Required
1
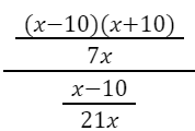
Question 1
1.

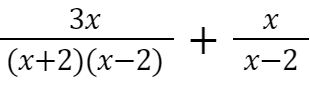
Question 2
2.

Question 3
3.

Question 4
4.

Question 5
5.


Write your answer as x=#

Question 6
6.



Write your answer as x=#