Log in
Sign up for FREE
arrow_back
Library

STAAR Practice

star
star
star
star
star
Last updated about 1 month ago
19 questions
Required
1
Required
1
Required
1
Required
1
Required
1
Required
1
Required
1
Required
1
Required
1
Required
1
Required
1
Required
1
Required
1
Required
1
Required
1
Required
1
Required
1
Required
1
Required
1
Question 1
1.

Question 2
2.

Question 3
3.

Question 4
4.

Question 5
5.

Question 6
6.

Question 7
7.

Question 8
8.

Question 9
9.

Question 10
10.

Question 11
11.

Question 12
12.

Question 13
13.

Question 14
14.

Question 15
15.

Question 16
16.

Question 17
17.

Question 18
18.

Question 19
19.

y-intercept is (0, -7)
Maximum of (-2, 5)
y-intercept is (0,7)
Minimum of (-2, 5)
Maximum of (-2,-5)
Domain is all real numbers
Zeros are (-3.29, 0) and (-.709, 0)
Zeros are (-3.79, 0) and (0, 3)
b= -13
y-intercept is (13, 0)
b= 13
y-intercept is (2, 5)
Classify the equation
Linear
Exponential Growth
Exponential Decay
Quadratic
What is the slope and the y-intercept? Classify as linear, quadratic, or exponential.
slope=-4
m=1
m= -1
y-intercept is -4
Quadratic
b=6
Exponential
Linear
y-intercept is 4
What is the y-intercept? Select all that apply. (Hint: You should pick 2 answers)
b=12
y-intercept is 12
y-intercept is 2.5
y-intercept is x
Evaluate f(42)
104
42
101.5
0
Check all that apply. (Hint: 3 options need to be picked!)
y-intercept is (3,0)
y-intercept is (0, -1)
y-intercept is (0,0)
There are 2 zeros
only one root is 0
roots are 0 and 5.83
What is the range?
What is the asymptote?
y=0
y=5
y=6
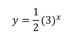
Classify the equation
Exponential Growth
Linear
Exponential Decay
Quadratic
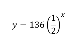
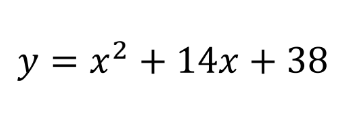
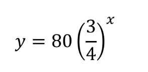
Classify the equation
Quadratic
Exponential Growth
Exponential Decay
Linear
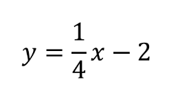
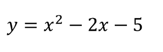
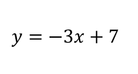
Classify the equation
Linear
Exponential Decay
Exponential Growth
Quadratic
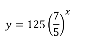
Classify the equation
Exponential Decay
Exponential Growth
Quadratic
Linear
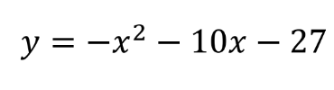
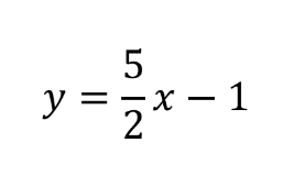
Classify the equation
Exponential Growth
Exponential Decay
Linear
Quadrataic
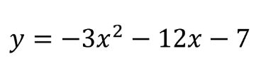
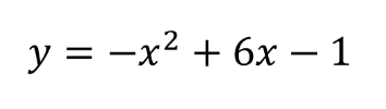
Classify the equation
Exponential Growth
Quadratic
Exponential Decay
Linear
Classify the equation
Exponential Decay
Quadratic
Exponential Growth
Linear
A
B
C
D
A
B
C
D
E