Final Exam Mixed Review
star
star
star
star
star
Last updated about 1 year ago
20 questions
Required
1
What is the difference between \frac{7}{12} and \frac{1}{3}?
What is the difference between \frac{7}{12} and \frac{1}{3}?
Required
1
Which graph best represents a line with an x-intercept of -2 and a y-intercept of 5?
Which graph best represents a line with an x-intercept of -2 and a y-intercept of 5?
Required
1
Which is the solution to the following equation: 7-4(x+2)=\frac{1}{3}(8x-12)?
Which is the solution to the following equation: 7-4(x+2)=\frac{1}{3}(8x-12)?
Required
1
Use the given numbers to create a true equation.

Other Answer Choices:
0
4
10
6
9
Required
1
Which is equivalent to \frac{x^{6}y^{5}z^{4}}{(xy)^{-5}}?
Which is equivalent to \frac{x^{6}y^{5}z^{4}}{(xy)^{-5}}?
Required
1
Which is a factored form of the following expression: 5x^{2}-20x?
Which is a factored form of the following expression: 5x^{2}-20x?
Required
1
When completely factored, 2x^{2}+20x+48 is equivalent to:
When completely factored, 2x^{2}+20x+48 is equivalent to:
Required
1
Factor x^{2}-64y^{2}.
Factor x^{2}-64y^{2}.
Required
1
Which is equivalent to (2+\sqrt{5})(3+\sqrt{5})?
Which is equivalent to (2+\sqrt{5})(3+\sqrt{5})?
Required
1
Which function of x would have zeros of 1 and -5?
Which function of x would have zeros of 1 and -5?
Required
1
The graph of a function is shown. Identify three transformations applied to the parent function y=x^{2} to obtain the graph below.
The graph of a function is shown. Identify three transformations applied to the parent function y=x^{2} to obtain the graph below.
Required
1
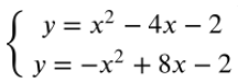
Which set of ordered pairs is the solution to the system of equations shown?
Which set of ordered pairs is the solution to the system of equations shown?
Required
1
Which is the factored form of 8y^{3}-1?
Which is the factored form of 8y^{3}-1?
Required
1
The following is the graph of a function of x. Which is the interval(s) on which the function is increasing?
The following is the graph of a function of x. Which is the interval(s) on which the function is increasing?
Required
1
Which function is the inverse of f(x)=x^{3}+17?
Which function is the inverse of f(x)=x^{3}+17?
Required
1
Simplify \frac{x^{2}}{x+2}\div\frac{x^{2}-3x}{x^{2}+4x+4}.
Simplify \frac{x^{2}}{x+2}\div\frac{x^{2}-3x}{x^{2}+4x+4}.
Required
1
Which of the following states the solution to the following rational equation: \frac{3x+4}{2x}+\frac{2x+5}{3x}=\frac{21}{2x}.
Which of the following states the solution to the following rational equation: \frac{3x+4}{2x}+\frac{2x+5}{3x}=\frac{21}{2x}.
Required
1
Which is expression is equivalent to x^{\frac{3}{5}}y^{4\frac{40}{5}}?
Which is expression is equivalent to x^{\frac{3}{5}}y^{4\frac{40}{5}}?
Required
1
Which expression is equivalent to\sqrt[3]{a^{4}b^{12}}
Which expression is equivalent to\sqrt[3]{a^{4}b^{12}}
Required
1
Which is the simplest radical form for \sqrt{8}+5\sqrt{32}-\sqrt{2}?
Which is the simplest radical form for \sqrt{8}+5\sqrt{32}-\sqrt{2}?