Log in
Sign up for FREE
arrow_back
Library
Quarter 2
By Miss Douglas
star
star
star
star
star
Share
share
Last updated over 1 year ago
6 questions
Add this activity
Required
1
Required
1
Required
1
Required
1
Required
1
Required
1
Question 1
1.
Which interval(s) of the function below is increasing?
visibility
View drawing
Question 2
2.
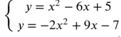
What is the solution to the system of equations shown?
Type your answer as an ordered pair (#,#),(#,#)
Question 3
3.
Simplify and write in radical form: x^{\frac{4}{9}}y^{\frac{25}{9}}.
visibility
View drawing
Question 4
4.
Simplify and write in exponential form: \sqrt[4]{a^{3}b^{13}}
Question 5
5.
Simplify \sqrt{80}-3\sqrt{20}+4\sqrt{180}
visibility
View drawing
Question 6
6.
Simplify (5+\sqrt{6})(4+\sqrt{6})
visibility
View drawing