Log in
Sign up for FREE
arrow_back
Library
(S) 5/3 Multi-Step Equations Progress Check
By Alexandra Jones
star
star
star
star
star
Share
share
Last updated over 1 year ago
8 questions
Add this activity
1
1
1
1
1
1
1
1
Question 1
1.
4a + 8a = 60
visibility
View drawing
Question 2
2.
11n – 7 – 4n = 42
visibility
View drawing
Question 3
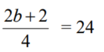
3.
visibility
View drawing
Question 4
4.
3(x + 4) = 72
visibility
View drawing
Question 5
5.
5x – 4(2 + 4x) = 14
visibility
View drawing
Question 6
6.
-7t – 30 = 3t + 10
visibility
View drawing
Question 7
7.
9p = 3p + 36
visibility
View drawing
Question 8
8.
5x – 3x + 4 = 3x + 8
visibility
View drawing