Log in
Sign up for FREE
arrow_back
Library
Quadratics Test
By Meghan Rhymes
star
star
star
star
star
Share
share
Last updated almost 2 years ago
12 questions
Add this activity
Quadratics Test
6
4
4
4
3
4
4
3
8
6
Extra Credit!
0
0
Question 1
1.
visibility
View drawing
Question 2
2.
Simplify:
visibility
View drawing
Question 3
3.
Simplify:
visibility
View drawing
Question 4
4.
Simplify:
visibility
View drawing
Question 5
5.
Factor:
visibility
View drawing
Question 6
6.
Factor:
visibility
View drawing
Question 7
7.
What are the solutions to the equation?
x = _______ x = _______
visibility
View drawing
Question 8
8.
Use the Quadratic Formula to solve.
x = _______ x = _______
visibility
View drawing
Question 9
9.
Give the equation, determine each of the following and graph.
Does the parabola open up or down?_______
What is the axis of symmetry?_______
What is the vertex?_______
Find the x-intercept(s):_______ and _______
Find the y-intercept: _______
visibility
View drawing
Question 10
10.
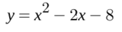
Given the equation
, determine each of the following and graph:
Does the parabola open up or down?_______
What is the axis of symmetry?_______
What is the vertex? State coordinate. _______
Find the y-intercept. State coordinate._______
visibility
View drawing
Question 11
11.
Simplify the following expression.
visibility
View drawing
Question 12
12.
Solve the following system by graphing.
Graph the system on the coordinate plane and enter the solution.
visibility
View drawing
Which of the following are true statements about the graph of:
The vertex is (2,5)
The vertex is (-2,3)
The y-intercept is (0,1)
The y-intercept is (0,9)
The graph opens up
The graph opens down