Log in
Sign up for FREE
arrow_back
Library
Graphing Quadratics Review
By Meghan Rhymes
star
star
star
star
star
Share
share
Last updated almost 2 years ago
11 questions
Add this activity
6
6
10
10
10
1
1
1
1
1
1
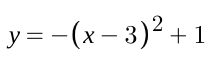
Question 1
1.
Graph the parabola.
Opens up or down: _______
Vertex: _______
Axis of symmetry: _______
visibility
View drawing
Question 2
2.
Graph the parabola.
Opens up or down: _______
Vertex: _______
Axis of symmetry: _______
visibility
View drawing
Question 3
3.
Use your calculator to help you graph the parabola below.
Using the graph, select all possible characteristics for the parabola.
visibility
View drawing
Question 4
4.
Use your calculator to help you graph the parabola below.
Using the graph, select all possible characteristics for the parabola.
visibility
View drawing
Question 5
5.
Use your calculator to help you graph the parabola below.
Using the graph, select all possible characteristics for the parabola.
visibility
View drawing
Question 6
6.
What is the correct factoring for Difference of Squares
Not perfect squares
(3x+1)(3x+1)
(3x+1)(3x-1)
(3x-1)(6x+1)
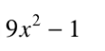
Question 7
7.
What is the correct factoring for Difference of Squares
Question 8
8.
What is the correct factoring for Difference of Squares
Question 9
9.
Find the product.
Be sure to write your answer with the terms decreasing in degree from left to right.
visibility
View drawing
Question 10
10.
Find the product.
Be sure to write your answer with the terms decreasing in degree from left to right.
visibility
View drawing
Question 11
11.
Find the product.
Be sure to write your answer with the terms decreasing in degree from left to right.
visibility
View drawing
It opens up
It opens down
The y-intercept is the origin
The y-intercept is
not
the origin
The parabola is centered on the y-axis
It opens up
It opens down
The y-intercept is the origin
The y-intercept is
not
the origin
The parabola is centered on the y-axis
It opens up
It opens down
The y-intercept is the origin
The y-intercept is
not
the origin
The parabola is centered on the y-axis